ChemicalBook--->CAS DataBase List--->1459721-06-2

1459721-06-2

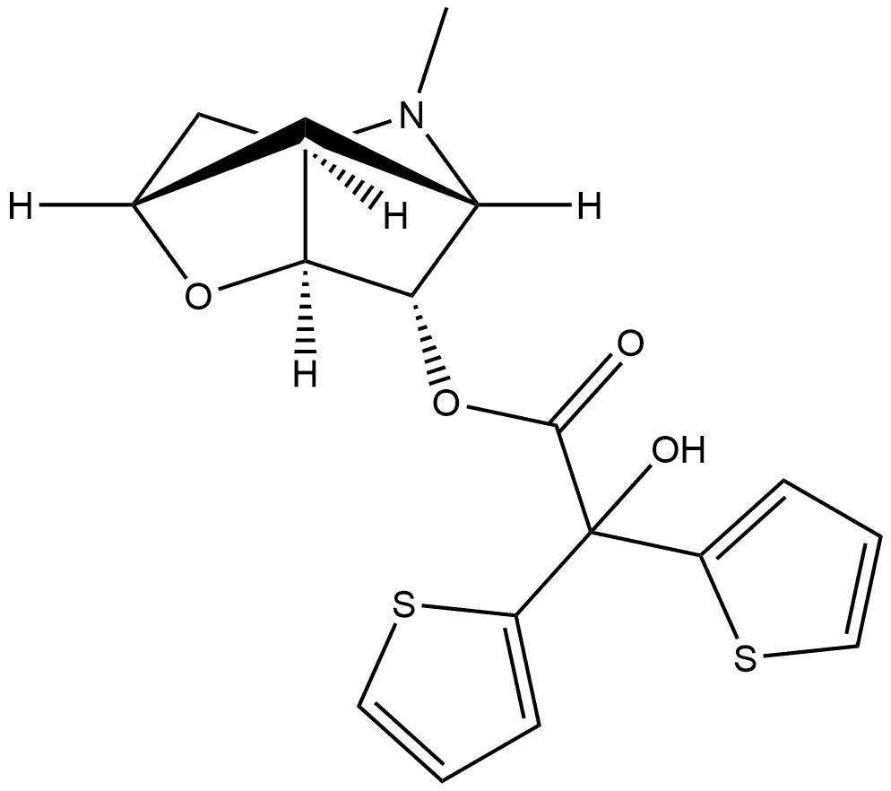
1459721-06-2 Structure

1459721-06-2 Structure
IdentificationBack Directory
[Name]

Tiotropium bromide Impurity 13
[CAS]

1459721-06-2
[Synonyms]

Tiotropium Impurity 12
Tiotropium bromide Impurity 13
rel-(2R,3aR,5S,6S,6aS)-4-Methylhexahydro-2H-2,5-methanofuro[3,2-b]pyrrol-6-yl 2-hydroxy-2,2-di(thiophen-2-yl)acetate
(2S,3aS,5R,6R,6aR)-6-(2-hydroxy-2,2-di(thiophen-2-yl)acetoxy)-4,4-dimethylhexahydro-2H-2,5-methanofuro[3,2-b]pyrrol-4-ium bromide
2-Thiopheneacetic acid, α-hydroxy-α-2-thienyl-, (2R,3aR,5S,6S,6aS)-hexahydro-4-methyl-2,5-methano-2H-furo[3,2-b]pyrrol-6-yl ester, rel-
[Molecular Formula]

C18H19NO4S2
[MDL Number]

MFCD29090727
[MOL File]

1459721-06-2.mol
[Molecular Weight]

377.48
Chemical PropertiesBack Directory
[Boiling point ]

543.7±50.0 °C(Predicted)
[density ]

1.48±0.1 g/cm3(Predicted)
[storage temp. ]

Hygroscopic, Refrigerator, under inert atmosphere
[solubility ]

Chloroform (Slightly), DMSO (Slightly), Methanol (Slightly)
[form ]

Solid
[pka]

10.27±0.29(Predicted)
[color ]

Dark Red to Very Dark Red
[Stability:]

Hygroscopic
Hazard InformationBack Directory
[Uses]

(2R,3aR,5S,6S,6aS)-4-Methylhexahydro-2H-2,5-methanofuro[3,2-b]pyrrol-6-yl 2-hydroxy-2,2-di(thiophen-2-yl)acetate, is an impurity of Tiotropium Bromide (T444850), Muscarinic receptor antagonist. Bronchodilator.
1459721-06-2 suppliers list
Company Name: ChemStrong Scientific Co.,Ltd  
Tel: 0755-0755-66853366 13670046396
Website: www.chem-strong.com
Company Name: Hubei Yangxin Medical Technology Co., Ltd.  
Tel: 15374522761
Website: www.standardpharm.com
Company Name: Wuxi Helen Biotechnology Co., Ltd.,  
Tel: 0510-85629785 18013409632
Website: http://www.reading-chemicals.com
Company Name: guoyungurui  
Tel: 18162595016; 18162595016
Website: https://www.chemicalbook.com/supplier/25521782/
Company Name: Shenzhen Qingtian Biotechnology Co, Ltd.  
Tel: 18823167005 18162969855
Website:
Company Name: Nantong Hanfang Biotechnology Co. , Ltd.  
Tel: hanfangpharma@126.com; 18616537568
Website: https://hanfangpharma@126.com
Company Name: Changzhou Xianglong Pharmaceutical Technology Co., Ltd.,  
Tel: 18915873328
Website: www.xianglongpharm.com/
Company Name: Biosynth Biological Technology (Suzhou) Co Ltd  
Tel: 51288865780
Website: www.biosynth.com
Company Name: Beijing Comparison Pharmaceutical Technology Co., Ltd  
Tel: 010-010-52878169 15801002657
Website: http://www.bjcomparison.com
Company Name: Pharmaffiliates Analytics and Synthetics P. Ltd  
Tel: +91-172-5066494
Website: www.pharmaffiliates.com
Company Name: Shanghai Hao Zhun Biological Technology Co., Ltd.  
Tel: 15800340161
Website: www.zzsrm.com
Tags:1459721-06-2 Related Product Information
475468-09-8 26878-13-7 201667-20-1 588-63-6 1404453-68-4

  • HomePage | Member Companies | Advertising | Contact us | Previous WebSite | MSDS | CAS Index | CAS DataBase | Privacy | Terms | About Us
  • All products displayed on this website are only for non-medical purposes such as industrial applications or scientific research, and cannot be used for clinical diagnosis or treatment of humans or animals. They are not medicinal or edible.
    According to relevant laws and regulations and the regulations of this website, units or individuals who purchase hazardous materials should obtain valid qualifications and qualification conditions.
  • Copyright © 2023 ChemicalBook All rights reserved.