ChemicalBook--->CAS DataBase List--->1788085-78-8

1788085-78-8

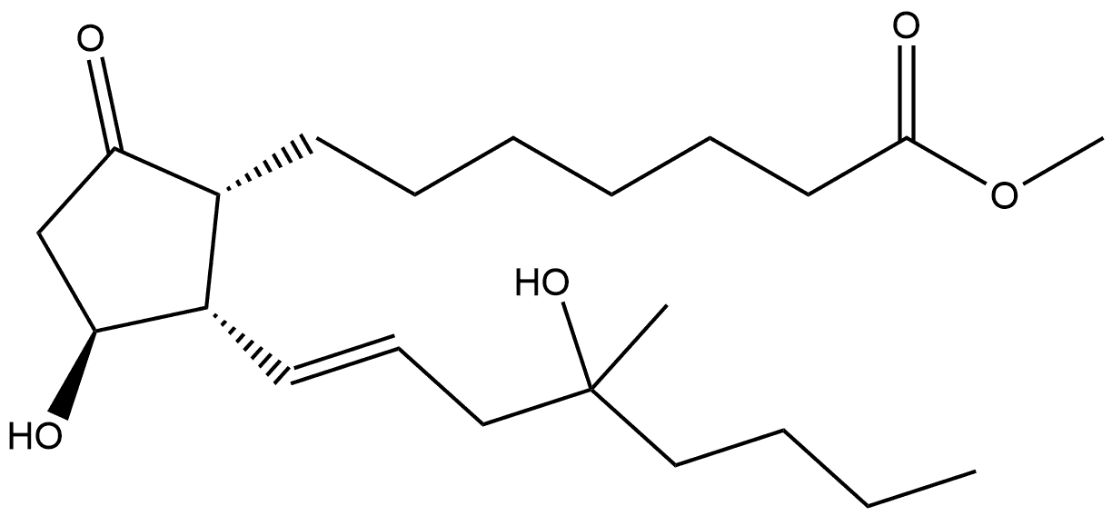
1788085-78-8 Structure

1788085-78-8 Structure
IdentificationBack Directory
[Name]

OJLOPKGSLYJEMD-PJCYZMLPSA-N
[CAS]

1788085-78-8
[Synonyms]

OJLOPKGSLYJEMD-PJCYZMLPSA-N
Misoprostol EP Impurity A (8-epi-Misoprostol)
Misoprostol Impurity 1 (Misoprostol EP Impurity A)(8-epi-Misoprostol)
Chemical PropertiesBack Directory
[solubility ]

Chloroform (Slightly), Methanol (Slightly)
[form ]

Oil
[color ]

Colourless
Hazard InformationBack Directory
[Uses]

8-iso Misoprostol is a very widely sold analog of prostaglandin E1, which is potent but acts as a non-selective agonist towards the prostanoid EP receptor subgroup.
1788085-78-8 suppliers list
Company Name: Amadis Chemical Company Limited  
Tel: 571-89925085
Website: http://www.amadischem.com
Company Name: Hubei Yangxin Medical Technology Co., Ltd.  
Tel: 15374522761
Website: www.standardpharm.org.cn/
Company Name: Guangzhou Dreampharm Biotechnology Co., Ltd.  
Tel: 020-36607679 19925672674
Website: www.dmstandards.com/
Company Name: Shenzhen Jianyi Biotechnology Co., Ltd  
Tel: 0755-84826604
Website: www.jeanchemical.com
Company Name: Meng Cheng Technology (Shanghai) Co., LTD  
Tel: 400-820-6829
Website: www.mitachieve.com
Company Name: Nanjing Shizhou Biology Technology Co.,Ltd  
Tel: 025-025-85560043 17301488900
Website: http://www.synzest.com
Company Name: Nanjing Shizhou Biology Technology Co.,Ltd  
Tel: 025-85560043 13675144456
Website: http://www.synzest.com
Company Name: Nanjing Shizhou Biology Technology Co.,Ltd  
Tel: 18351873721
Website: www.synzest.com
Company Name: Shanghai Zerui Biotechnology Co., Ltd.  
Tel: 021-54580889 18321124657
Website: www.zr-pharmaceutical.com
Company Name: Henan Vcommend Consultrading Co., Ltd.  
Tel: 13393721940
Website: http://www.vcommend.com/
Company Name: Taizhou Chuanxu Pharmaceutical Technology Co., Ltd.  
Tel: 13000000000
Website:
Company Name: Selection Bioscience LLC  
Tel: 021-53308090 18621190837
Website: www.selectionbio.com/
Company Name: Hubei Rhema Reference Materials Technology Co., Ltd.  
Tel: 15787879035 15787875101
Website: www.chemicalbook.com/supplier/138770565/
Company Name: Pharmaffiliates Analytics and Synthetics P. Ltd  
Tel: +91-172-5066494
Website: www.pharmaffiliates.com
Company Name: CLEARSYNTH LABS LTD.  
Tel: +91-22-45045900
Website: www.clearsynth.com
Tags:1788085-78-8 Related Product Information
40098-26-8 58717-37-6 66792-31-2 58717-36-5 1788085-79-9

  • HomePage | Member Companies | Advertising | Contact us | Previous WebSite | MSDS | CAS Index | CAS DataBase | Privacy | Terms | About Us
  • All products displayed on this website are only for non-medical purposes such as industrial applications or scientific research, and cannot be used for clinical diagnosis or treatment of humans or animals. They are not medicinal or edible.
    According to relevant laws and regulations and the regulations of this website, units or individuals who purchase hazardous materials should obtain valid qualifications and qualification conditions.
  • Copyright © 2023 ChemicalBook All rights reserved.