ChemicalBook--->CAS DataBase List--->64096-87-3

64096-87-3

64096-87-3 Structure

64096-87-3 Structure
IdentificationBack Directory
[Name]

1,1-Dioxo-hexahydro-1l6-thiopyran-4-carboxylic acid
[CAS]

64096-87-3
[Synonyms]

1,1-Dioxo-tetrahydrothiop...
1,1-Dioxo-1lambda(6)-thiane-4-carboxylicacid
1,1-Dioxohexahydrothiopyran-4-carboxylic acid
1,1-Dioxo-tetrahydrothiopyran-4-carboxylic acid
1-Dioxo-hexahydro-1l6-thiopyran-4-carboxylic acid
Tetrahydrothiopyran-4-carboxylic acid 1,1-dioxide
1,1-Dioxo-hexahydro-1l6-thiopyran-4-carboxylic acid
tetrahydro-thiopyrane-4-carboxylic acid 1,1-dioxide
1,1-dioxo-hexahydro-1λ6-thiopyran-4-carboxylic acid
2H-Thiopyran-4-carboxylic acid, tetrahydro-, 1,1-dioxide
[EINECS(EC#)]

815-471-5
[Molecular Formula]

C6H10O4S
[MDL Number]

MFCD03102802
[MOL File]

64096-87-3.mol
[Molecular Weight]

178.21
Chemical PropertiesBack Directory
[Melting point ]

195-196℃ (acetone ligroine )
[Boiling point ]

456.6±38.0 °C(Predicted)
[density ]

1.422±0.06 g/cm3(Predicted)
[storage temp. ]

Sealed in dry,Room Temperature
[form ]

powder
[pka]

4.05±0.20(Predicted)
[color ]

White to off-white
Safety DataBack Directory
[Symbol(GHS) ]


GHS07
[Signal word ]

Warning
[Hazard statements ]

H302-H315-H319-H332-H335
[Precautionary statements ]

P261-P280-P305+P351+P338
[HS Code ]

2934999090
Spectrum DetailBack Directory
[Spectrum Detail]

1,1-Dioxo-tetrahydrothiopyran-4-carboxylic acid(64096-87-3)1HNMR
1,1-Dioxo-tetrahydrothiopyran-4-carboxylic acid(64096-87-3)FT-IR
Hazard InformationBack Directory
[Synthesis]

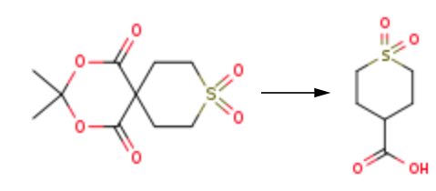
3,3-Dimethyl- 2, 4-dioxa-9-thiaspiro[5.5]undecane-1,5-dione-9, 9-dioxide 1 (20.0 g, 76.3 mmol) and then 6 N hydrochloric acid (60 mL) and Antifoam 204 (200 mg, 1 wt % relative to 1) were charged to a 250-mL, three-neck round-bottom flask, equipped with a mechanical stirrer and a thermocouple. The reaction was then heated to reflux, and the distillate was collected until the internal temperature reached 100 eC; after that, the reaction was allowed to reflux for an additional 8 hours or until LC/MS showed a complete conversion of 1 to 2. The reaction was then cooled to room temperature and held for ~12 h when the product crystallized from the solution. The slurry was cooled to 0 °C for 1 h and then filtered. The cake was dried in a vacuum oven at 60 eC, with nitrogen bleed, overnight to give the product as a white, crystalline solid 1,1-Dioxo-tetrahydrothiopyran-4-carboxylic acid (8.84 g, 49.6 mmol, 65% yield.
1,1-Dioxo-hexahydro-1l6-thiopyran-4-carboxylic acid
64096-87-3 suppliers list
Company Name: ZHENGZHOU JIUYI TIME NEW MATERIALS CO,.LTD
Tel: +86-13017695106 +86-13676922317 , +86-13676922317
Website:
Company Name: Henan Tianfu Chemical Co.,Ltd.
Tel: +86-0371-55170693 +86-19937530512 , +86-19937530512
Website: https://www.tianfuchem.com/
Company Name: Nanjing ChemLin Chemical Industry Co., Ltd.
Tel: 025-83697070
Website: www.echemlin.cn
Company Name: Jinan Carbotang Biotech Co.,Ltd.
Tel: +8615866703830 , +8615866703830
Website: https://www.chemicalbook.com/ShowSupplierProductsList31189/0.htm
Company Name: Jinan Finer Chemical Co., Ltd
Tel: +86-531-88989536 +86-15508631887 , +86-15508631887
Website: http://www.finerchem.com
Company Name: Accela ChemBio Inc.
Tel: +1-858-6993322
Website: www.accelachem.com/
Company Name: BOC Sciences
Tel: +1-631-485-4226
Website: https://www.bocsci.com/
Company Name: Alchem Pharmtech,Inc.
Tel: 8485655694
Website: www.chemicalbook.com/ShowSupplierProductsList454175/0_EN.htm
Company Name: career henan chemical co
Tel: +86-0371-86658258 +8613203830695 , +8613203830695
Website: www.coreychem.com
Company Name: Guangzhou Yuheng Pharmaceutical Technology Co., Ltd
Tel: +8613580539051 , +8613580539051
Website: www.yuhengpharm.com
Company Name: Hubei Ipure Biology Co., Ltd
Tel: +8613367258412 , +8613367258412
Website: http://www.ipurechemical.com
Company Name: Nextpeptide Inc
Tel: +86-0571-81612335 +8613336028439 , +8613336028439
Website: http://www.nextpeptide.com/
Company Name: Labnetwork lnc.
Tel: +86-27-50766799 +8618062016861 , +8618062016861
Website: www.labnetwork.com
Company Name: VladaChem GmbH
Tel: +49-7246-3082843
Website: https://www.vladachem.com/search.php
Company Name: Hefei TNJ Chemical Industry Co.,Ltd.
Tel: +86-0551-65418684 +8618949823763 , +8618949823763
Website: www.tnjchem.com
Company Name: Baynoe Chem (Suzhou) Co., Ltd.
Tel: +86-512 65869404 +86-18934593683 , +86-18934593683
Website: https://finechem.baynoe.com/
Company Name: HANGZHOU LEAP CHEM CO., LTD.
Tel: +86-571-87711850
Website: www.leapchem.com
Company Name: Zibo Hangyu Biotechnology Development Co., Ltd
Tel: +86-0533-2185556 +8615965530500 , +8615965530500
Website: www.chemicalbook.com/manufacturer/hangyu-chemical-25178/
Tags:64096-87-3 Related Product Information
29943-42-8 694-54-2 118870-83-0 542-28-9 6309-59-7 17396-36-0 18729-20-9 110811-34-2 4160-61-6 5768-79-6 29683-23-6 873397-34-3 61571-06-0 912578-71-3 167011-35-0 161404-76-8 494210-61-6 21926-00-1

  • HomePage | Member Companies | Advertising | Contact us | Previous WebSite | MSDS | CAS Index | CAS DataBase | Privacy | Terms | About Us
  • All products displayed on this website are only for non-medical purposes such as industrial applications or scientific research, and cannot be used for clinical diagnosis or treatment of humans or animals. They are not medicinal or edible.
    According to relevant laws and regulations and the regulations of this website, units or individuals who purchase hazardous materials should obtain valid qualifications and qualification conditions.
  • Copyright © 2023 ChemicalBook All rights reserved.