103361-09-7
103361-09-7 结构式
基本信息
丙炔氟草胺
丙酮中丙炔氟草胺
丙炔氟草胺标准品
丙炔氟草胺溶液,100PPM
丙炔氟草胺溶液, 100PM
丙炔氟草胺溶液,1000PPM
N-(7-氟-3,4-二氢-3-氧-(2-丙炔基)-2H-1,4-苯并嗪-6-基)环己-1-烯-1,2-二羧酰亚胺
N-(7-氟-3,4-二氢-3-氧-(2-丙炔基)-2-H-1,4-苯并噁嗪-6-基)环己-1-烯-1,2-二羧酰亚胺
2-[7-氟代-3,4-二氢-3-氧代-4-(2-丙炔基)-2H-1,4-苯并嗪-6-基]-4,5,6,7-四氢-1H-异吲哚-1,3(2H)-二酮
PLEDGE
V-53482
S-53482
sumisoya
FluMizin
Guillotine
FLUMIOXAZIN
FluMinoxazin
Flumioxazin 0
物理化学性质
cleaning products
cosmetics
environmental
food and beverages
personal care
安全数据
Aquatic Chronic 1
Repr. 2
常见问题列表
大鼠急性经口LD50>5000mg/kg,大鼠急性经皮LD50>2000mg/kg。大鼠急性吸人 LC50(4h)>3.93g/m3 空气。对兔眼睛有中等程度刺激性,对兔皮肤无刺激性,对豚鼠皮肤无致 敏性。大鼠NOEL(mg/L):(90d)30[2.2mg/(kg·d)],(2y)50[1.8mg/(kg·d)]。ADI(EC) 0.009mg/kg[2002];(EPA)aRfD0.03mg/kg,cRfD0.02mg/kg[2001]。对Ames试验、染色体 畸变试验及体内、体外UDS试验无致突变性。
丙炔氟草胺(flumioxazin),试验代号 S53482、V-53482。商品名称 Clipper、Fierce、 Sumisoya、Valtera。其他名称 Broadstar、Chateau、Digital、Flumyzin、Guillotine、Payload Herbicide、Pledge、Sumimax、Sureguard、Valor、Valor SX、Valor XLT、速收、司米梢芽,是 由日本住友化学工业株式会社开发的环酰亚胺类除草剂。
丙炔氟草胺纯品为黄棕色粉状固体,工业品纯度≥96%。熔点202~204℃,蒸气压3.2mPa (22℃),K1gP=2.55(20℃);Henry常数6.36×10-2Pa·m3/mol,相对密度1.5136(20℃)。 水中溶解度1.79mg/L(25℃),其他有机溶剂中溶解度(g/L,25℃):丙酮17,乙腈32.3,乙酸乙 酯17.8,二氯甲烷191,正己烷0.025,甲醇1.6,正辛醇0.16。水解DT5o3.4d(pH5),1d(pH 7),0.01d(pH9)。在正常情况下储存稳定。
丙炔氟草胺为抑制原卟啉原氧化酶(PPO)在植物叶绿素合成中十分重要的酶,处理后原卟啉在敏感植物的体内聚积,导致光敏作用和细胞膜脂质的过氧化,造成细胞膜功能和结构不可逆的破坏,茎叶处理后敏感杂草茎叶坏死,日光照射后死亡;土壤处理后敏感杂草的芽坏死,在短暂的日光照射后死亡。
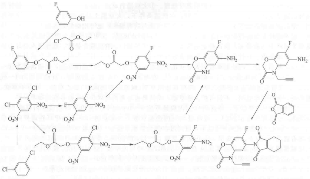
丙炔氟草胺是以3-氟苯酚为原料,通过以下几种方法合成:

