返回ChemicalBook首页>CAS数据库列表>1159408-69-1

1159408-69-1

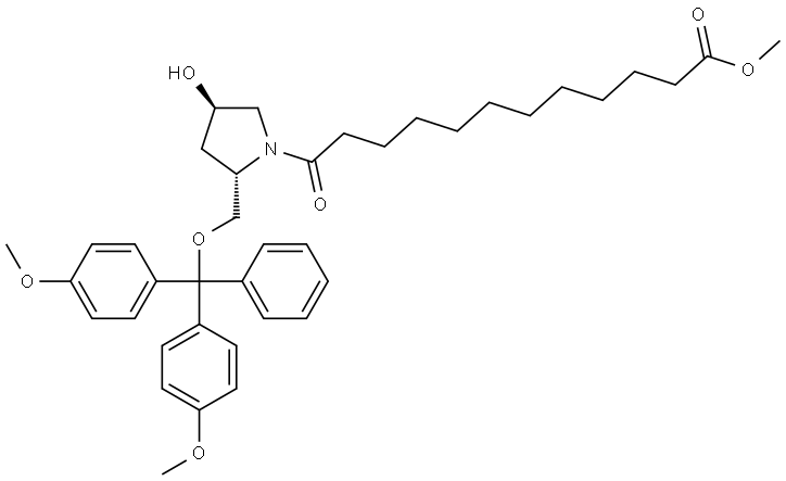
中文名称 12-((2S,4R)-2-((双(4-甲氧基苯基)(苯基)甲氧基)甲基)-4-羟基吡咯烷-1-基)-12-氧代十二烷酸
英文名称 1-Pyrrolidinedodecanoic acid, 2-[[bis(4-methoxyphenyl)phenylmethoxy]methyl]-4-hydroxy-λ-oxo-, methyl ester, (2S,4R)-
CAS 1159408-69-1
分子式 C39H51NO7
分子量 645.83
1159408-69-1 结构式 1159408-69-1 结构式

基本信息

中文别名
12-[(2S,4R)-2-[[双(4-甲氧基苯基)(苯基)甲氧基]甲基]-4-羟基吡咯烷-1-基]-12-氧代十二酸甲酯
12-((2S,4R)-2-((双(4-甲氧基苯基)(苯基)甲氧基)甲基)-4-羟基吡咯烷-1-基)-12-氧代十二烷酸甲酯
英文别名
methyl 12-((2S,4R)-2-((bis(4-methoxyphenyl)(phenyl)methoxy)methyl)-4-hydroxypyrrolidin-1-yl)-12-oxododecanoate
1-Pyrrolidinedodecanoic acid, 2-[[bis(4-methoxyphenyl)phenylmethoxy]methyl]-4-hydroxy-λ-oxo-, methyl ester, (2S,4R)-

物理化学性质

沸点744.4±60.0 °C(Predicted)
密度1.127±0.06 g/cm3(Predicted)
酸度系数(pKa)14.38±0.40(Predicted)
"1159408-69-1" 相关产品信息