返回ChemicalBook首页>CAS数据库列表>117457-34-8

117457-34-8

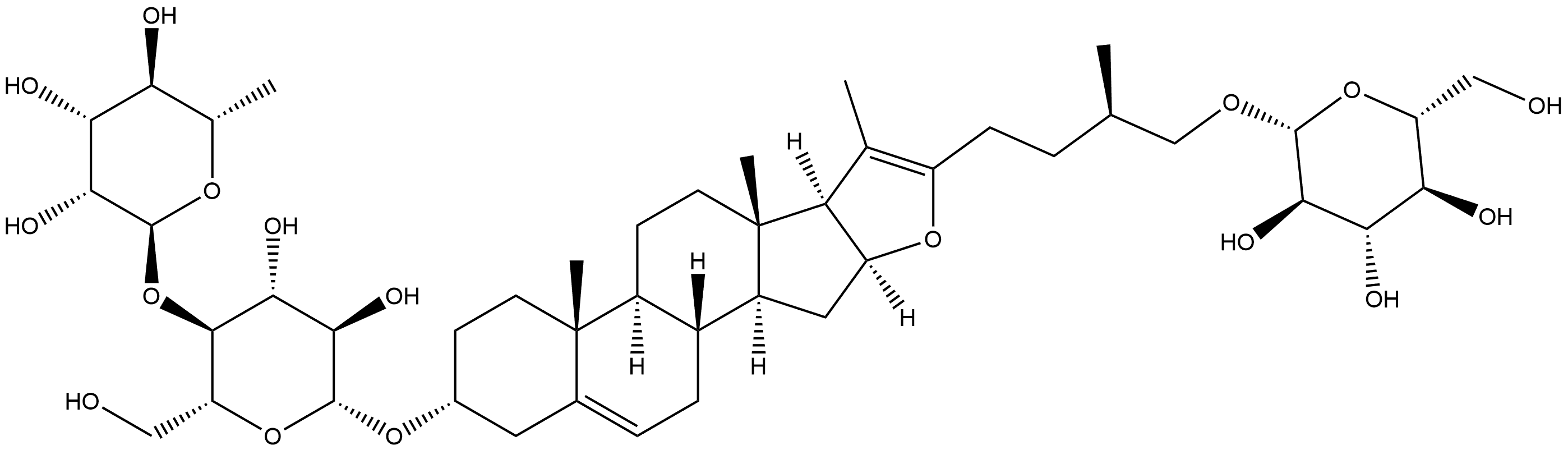
中文名称 (3β,25R)-26-(β-D-Glucopyranosyloxy)furosta-5,20(22)-dien-3-yl 4-O-(6-deoxy-α-L-mannopyranosyl)-β-D-glucopyranoside
英文名称 (3β,25R)-26-(β-D-Glucopyranosyloxy)furosta-5,20(22)-dien-3-yl 4-O-(6-deoxy-α-L-mannopyranosyl)-β-D-glucopyranoside
CAS 117457-34-8
分子式 C45H72O17
分子量 885.04
MOL 文件 117457-34-8.mol
117457-34-8 结构式 117457-34-8 结构式

基本信息

中文别名
异原纤细薯蓣次皂苷
英文别名
Isoproprotogracillin
Isoproprotogracillin B
(3β,25R)-26-(β-D-Glucopyranosyloxy)furosta-5,20(22)-dien-3-yl 4-O-(6-deoxy-α-L-mannopyranosyl)-β-D-glucopyranoside
(3β,25R)-26-(β-D-Glucopyranosyloxy)furosta-5,20(22)-dien-3-yl 4-O-(6-deoxy-α-L-mannopyranosyl)-β-D-glucopyranoside
β-D-Glucopyranoside, (3β,25R)-26-(β-D-glucopyranosyloxy)furosta-5,20(22)-dien-3-yl 4-O-(6-deoxy-α-L-mannopyranosyl)-

物理化学性质

沸点1001.6±65.0 °C(Predicted)
密度1.42±0.1 g/cm3(Predicted)
酸度系数(pKa)12.78±0.70(Predicted)
"117457-34-8" 相关产品信息
637349-03-2 19083-00-2 55056-80-9 19057-67-1 512-04-9 19057-60-4 54522-53-1 68127-19-5 102115-79-7 54522-52-0 35178-20-2 13209-79-5 121747-90-8