返回ChemicalBook首页>CAS数据库列表>12098-17-8

12098-17-8

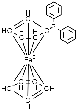
中文名称 二苯基磷基二茂铁
英文名称 Diphenylphosphinoferrocene
CAS 12098-17-8
更新日期 2025/12/22 16:12:29
12098-17-8 结构式 12098-17-8 结构式

基本信息

中文别名
二苯基磷基二茂铁
英文别名
Diphenylphosphinoferrocene

物理化学性质

熔点122-124 °C(Solv: heptane (142-82-5))
"12098-17-8" 相关产品信息