133865-89-1
中文名称
沙芬酰胺
英文名称
Safinamide
CAS
133865-89-1
分子式
C17H19FN2O2
分子量
302.347
MOL 文件
133865-89-1.mol
更新日期
2026/05/07 11:53:46
133865-89-1 结构式
基本信息
中文别名
沙非去甲磺酸
沙非酰胺
沙芬酰胺
沙芬酰胺杂质
沙芬酰胺游离碱
沙芬酰胺杂质D
沙芬酰胺杂质03
沙芬酰胺中间体2
去甲磺酸沙芬酰胺
英文别名
CS-484FCE 26743
SAFINAMID
Safinamide
EMD 1195686
Salfenamide
Safinamide >
Safinamide IMP
Safinamide, >=98%
FCE-28073(R-isomer)
所属类别
生物化工:MAO 抑制剂物理化学性质
熔点208-212°
沸点476.7±40.0 °C(Predicted)
密度1.189±0.06 g/cm3(Predicted)
储存条件Keep in dark place,Inert atmosphere,2-8°C
溶解度溶于DMSO(高达50mg/ml)。
酸度系数(pKa)16.03±0.50(Predicted)
形态固体
颜色白色
Merck14,8315
稳定性DMSO中的溶液可在-20°下稳定储存3个月。
InChIInChI=1S/C17H19FN2O2/c1-12(17(19)21)20-10-13-5-7-16(8-6-13)22-11-14-3-2-4-15(18)9-14/h2-9,12,20H,10-11H2,1H3,(H2,19,21)/t12-/m0/s1
InChIKeyNEMGRZFTLSKBAP-LBPRGKRZSA-N
SMILESC(N)(=O)[C@@H](NCC1=CC=C(OCC2=CC=CC(F)=C2)C=C1)C
常见问题列表
概述
沙芬酰胺(safinamide),化学名为 (S)-2-[4-(3-氟苄氧基)苄胺基]丙酰胺甲
磺酸盐,是由Newron 制药公司研发的抗帕金森病药,目前处于Ⅲ期临床研究
阶段。临床显示本药品可以提高帕金森病患者的运动和认知功能,防止患者出
现运动障碍,且具有良好的耐受性。帕金森病新药物
沙芬酰胺(商品名称:Xadago)是一种新型单胺氧化酶B(MAO-B)选择性抑制剂,通过阻断神经元上电压依赖式钠离子通道,进而调控谷氨酸释放。该药推荐与左旋多巴或者其他帕金森药物合用,用于特发性帕金森病中晚期治疗。沙芬酰胺是高度选择性、可逆的第三代B型单胺氧化酶抑制剂(司来吉兰是第一代,雷沙吉兰是第二代),可提高纹状体内细胞外多巴胺的水平。而不同于已经上市的司来吉兰和雷沙吉兰,沙芬酰胺还具有抑制神经递质谷氨酸释放的作用。

说沙芬酰胺是“新药”,其实它也没有那么“新”。2015年,欧洲已经批准沙芬酰胺用于治疗中晚期帕金森病;2017年3月21日,美国FDA批准沙芬酰胺作为附加治疗药物,用于治疗正在服用左旋多巴/卡比多巴且出现“OFF”状态的帕金森患者。
我们都知道,左旋多巴是目前治疗帕金森最有效也是应用最广泛的药物,在患者群体中的服药比例高达75%。但随着病情的发展,左旋多巴的疗效持续时间(ON-Time)会逐渐缩短,出现所谓的“疗效减退”(wearing-off)现象。这个时候,我们就需要将左旋多巴与其他具有不同作用机制的药物联合用药。
沙芬酰胺作为一种新型选择性MAO-B抑制剂,能有效减少已分泌多巴胺的降解,帮助维持大脑中的多巴胺浓度。此外,沙芬酰胺还能阻断神经元上电压依赖性钠离子通道,进而抑制谷氨酸的释放。因此,沙芬酰胺是一款同时具有多巴胺能机制和非多巴胺能机制的新帕金森病治疗药物。
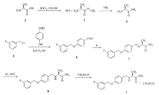
制备方法
1、固相合成:Rink amide树脂水解脱去羧基,与(S)-2-(芴甲氧酰胺基)丙酸 发生氨解反应,脱去氨基保护基后与4-(三异丙基硅氧基)苯甲醛缩合,经三乙 酰氧基硼氢化钠还原,然后脱去酚羟基保护基后再与3-氟苄醇成醚,最后将产 物从树脂上脱下,即得本药品。此路线涉及多次保护与脱保护,路线较长,且 所用试剂昂贵,不适合工业化生产。2、用(S)-2-氨基丙酰胺(4)与4-(3-氟苄氧基)苯甲醛(6)反应制得,总收率约 45%,路线虽短,但所用原料不易得。 3、对第二种方法进行改进:其合成路线为:

具体步骤为:用L-丙氨酸(2)为原料制得(S)-2-氨基丙酸甲酯盐酸盐(3),而后 氨解得到4,加入催化剂碘化钾,用无水乙醇代替丙酮作溶剂,反应时间延长 至6 h,用甲苯提取后再经甲苯-正己烷(1﹕1)重结晶制得纯品6,收率由78% 提高至91%。制备1时,文献[2]将4和6缩合制得 (S)-2-[4-(3-氟苄氧基)苄亚 胺基]丙酰胺(7),后用氰基硼氢化钠还原,再经柱色谱纯化得(S)-2-[4-(3-氟 苄氧基)苄胺基]丙酰胺(8),最后与甲磺酸成盐得1,收率45%(以6计 )。该法 会产生剧毒物氰化钠,且柱色谱纯化不适于大规模生产。本研究以Pd/C催化氢 化还原,产物经甲苯重结晶后与甲磺酸成盐,操作简化,更适于工业化生产, 收率可提高至83.3%。改进后的工艺总收率为75.8%。
作用机制
本品具有多种作用机制,不仅可高选择性及可逆性抑制单胺氧化酶B(MAO-B),
还可以抑制多巴胺再摄取,阻断电压依赖的钠通道、调节钙通道,从而抑制谷
氨酸释放。本品的中枢神经系统生物利用度高,临床显示本药品可以提高帕金森病患者的 运动和认知功能,防止患者出现运动障碍,且具有良好的耐受性。
应用
可用于帕金森病的治疗。不良反应
沙芬酰胺是一种选择性单胺氧化酶(MAO)B抑制剂。服用沙芬酰胺患者最常出现的不良反应包括不受控制的不自主运动、跌倒、恶心和失眠。
根据FDA,严重但不常见的风险包括高血压恶化;当与MAO抑制剂、抗抑郁药或阿片类药物使用时出现血清素综合征;在日常生活活动中睡着;幻觉和精神病行为;冲动控制障碍/强迫行为;停药后出现高热和意识混乱;以及视网膜病变。
注意事项
FDA提醒道,沙芬酰胺不应在严重肝功能异常患者中使用,此外,服用右美沙芬、MAO抑制剂、阿片类物质、圣约翰草和某些抗抑郁药物(如血清素-去甲肾上腺素再摄取抑制剂、三环类、四环类和三唑并吡啶类)或环苯扎林的患者也不应服用沙芬酰胺,因为可能会导致威胁生命的血清素综合征。参考资料
[1] 邢瑞娟, 律涛, 刘磊娜,等. 沙芬酰胺的合成[J]. 中国医药工业杂志, 2012, 43(3):161-163.[2] Pevarello P, Bonsignori A, Dostert P, et al. Synthesis and anticonvulsant activity of a new class of 2-[(arylalky)-amino] alkanamide derivatives [J]. J Med Chem, 1998, 41(4): 579-590.
