返回ChemicalBook首页>CAS数据库列表>1644566-17-5

1644566-17-5

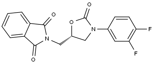
英文名称 1H-Isoindole-1,3(2H)-dione, 2-[[(5S)-3-(3,4-difluorophenyl)-2-oxo-5-oxazolidinyl]methyl]-
CAS 1644566-17-5
分子式 C18H12F2N2O4
分子量 358.3
MOL 文件 1644566-17-5.mol
1644566-17-5 结构式 1644566-17-5 结构式

基本信息

英文别名
1H-Isoindole-1,3(2H)-dione, 2-[[(5S)-3-(3,4-difluorophenyl)-2-oxo-5-oxazolidinyl]methyl]-

物理化学性质

沸点509.1±40.0 °C(predicted)
密度1.517±0.06 g/cm3(Temp: 20 °C; Press: 760 Torr)(predicted)
酸度系数(pKa)-1.27±0.40(predicted)
"1644566-17-5" 相关产品信息