返回ChemicalBook首页>CAS数据库列表>186180-20-1

186180-20-1

英文名称 Phage-derived 12/1 peptide
CAS 186180-20-1
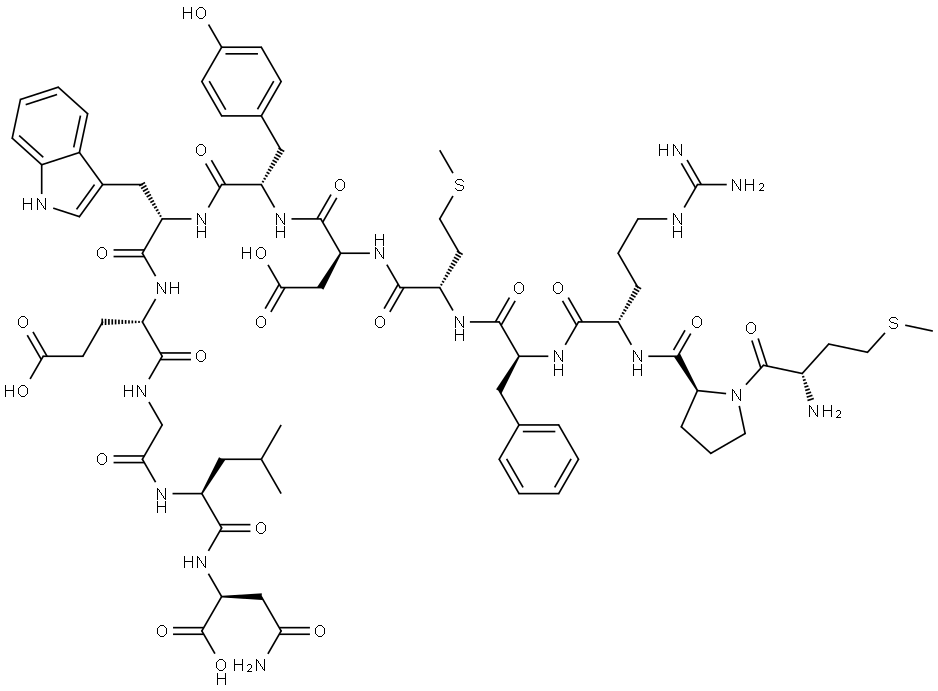
分子式 C71H99N17O19S2
分子量 1558.78
MOL 文件 186180-20-1.mol
186180-20-1 结构式 186180-20-1 结构式

基本信息

英文别名
Phage-derived 12/1 peptide

物理化学性质

密度1.47±0.1 g/cm3(Temp: 20 °C; Press: 760 Torr)(predicted)
酸度系数(pKa)3.19±0.10(predicted)
序列Met-Pro-Arg-Phe-Met-Asp-Tyr-Trp-Glu-Gly-Leu-Asn

常见问题列表

概述
Phage-derived 12/1 peptide 通过靶向 MDM2 和 MDMX 发挥抗肿瘤活性,从而破坏 MDM2-p53 和 MDMX-p53 相互作用,IC50 为 0.15 和 1.25 μM。
"186180-20-1" 相关产品信息