返回ChemicalBook首页>CAS数据库列表>202407-23-6

202407-23-6

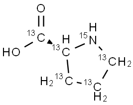
中文名称 15N, 99%)
英文名称 15N, 99%)
CAS 202407-23-6
分子式 C5H9NO2
更新日期 2026/05/11 10:17:59
分子量 121.09
MOL 文件 202407-23-6.mol
202407-23-6 结构式 202407-23-6 结构式

基本信息

中文别名
L-脯氨酸(13C5
L-脯氨酸-13C,1N
英文别名
L-Proline-13C?,1?N
L-Proline-13C5,15N 98 atom % 13C, 98 atom % 15N, 95% (CP)

物理化学性质

熔点228 °C (dec.) (lit.)
密度1.187±0.06 g/cm3(Temp: 25 °C; Press: 760 Torr)(predicted)
形态Solid
颜色White to off-white
旋光度 (Optical Rotation)[α]25/D -86.0°, c =2 in H2O
CAS Number Unlabeled147-85-3

常见问题列表

用途
L-脯氨酸(13C5;15N)是带有13C 标记和15N 标记的L-脯氨酸,用于生化实验研究中。
L-脯氨酸(13C5;15N)价格(试剂级)
报价日期产品编号产品名称CAS号包装价格
2025/12/22HY-Y0252S4L-脯氨酸(13C5;15N)
L-Proline-13C5,15N
202407-23-61 mg1100元
2025/12/22HY-Y0252S4L-脯氨酸(13C5;15N)
L-Proline-13C5,15N
202407-23-65 mg2800元
2025/12/22HY-Y0252S4L-脯氨酸(13C5;15N)
L-Proline-13C5,15N
202407-23-610 mg4500元
"202407-23-6" 相关产品信息