返回ChemicalBook首页>CAS数据库列表>2276-94-0

2276-94-0

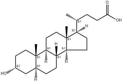
中文名称 别石胆酸
英文名称 (4R)-4-[(3R,5S,8R,9S,10S,13R,14S,17R)-3-hydroxy-10,13-dimethyl-2,3,4,5,6,7,8,9,11,12,14,15,16,17-tetradecahydro-1H-cyclopenta[a]phenanthren-17-yl]pentanoic acid
CAS 2276-94-0
分子式 C24H40O3
分子量 376.58
MOL 文件 2276-94-0.mol
2276-94-0 结构式 2276-94-0 结构式

基本信息

中文别名
别石胆酸
5Α-胆酸-3Α-醇
5Α-胆酸-3Α-醇
5Α-胆酸-3Α-醇(别石胆酸)
ALLOLITHOCHOLIC ACID (ALCA) 别石胆酸
英文别名
5α-CHOLANIC ACID-3α-OL
5α-CHOLANIC ACID-3α-OL
Allocholic Acid Impurity 2
Allolithocholic acid (ALCA)
Cholan-24-oic acid, 3-hydroxy-, (3α,5α)-
(4R)-4-[(3R,5S,8R,9S,10S,13R,14S,17R)-3-hydroxy-10,13-dimethyl-2,3,4,5,6,7,8,9,11,12,14,15,16,17-tetradecahydro-1H-cyclopenta[a]phenanthren-17-yl]pentanoic acid

物理化学性质

熔点204-208 °C
沸点511.0±23.0 °C(Predicted)
密度1.073±0.06 g/cm3(Predicted)
储存条件-20°C (-15°C to -25°C)
溶解度DMSO: Slightly soluble; Ethanol: Slightly soluble; Methanol: Slightly soluble
酸度系数(pKa)4.76±0.10(Predicted)
形态固体
颜色White to off-white

安全数据

WGK GermanyWGK 3
存储类别13 - Non Combustible Solids

常见问题列表

概述
别石胆酸 是一种可以在正常血清和粪便中发现的类固醇酸。Allolithocholic acid 促进脂肪和甾醇在肠道和肝脏的排泄、吸收和运输。
"2276-94-0" 相关产品信息