返回ChemicalBook首页>CAS数据库列表>2324131-31-7

2324131-31-7

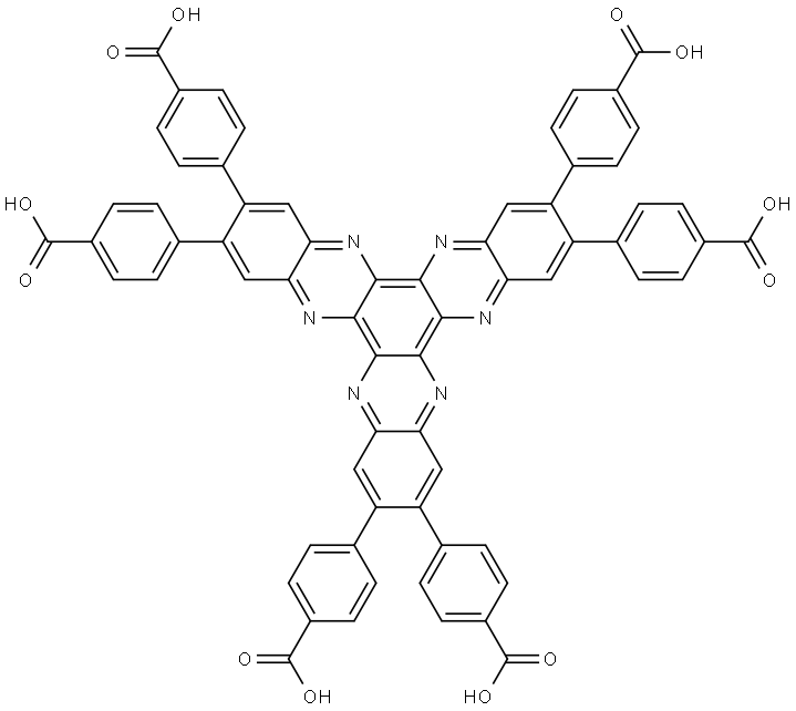
中文名称 4,4',4'',4''',4'''',4'''''-(diquinoxalino[2,3-a:2',3'-c]phenazine-2,3,8,9,14,15-hexayl)hexabenzoic acid
英文名称 4,4',4'',4''',4'''',4'''''-(diquinoxalino[2,3-a:2',3'-c]phenazine-2,3,8,9,14,15-hexayl)hexabenzoic acid
CAS 2324131-31-7
分子式 C66H36N6O12
分子量 1105.03
2324131-31-7 结构式 2324131-31-7 结构式

基本信息

中文别名
CPHATN
英文别名
4,4',4'',4''',4'''',4'''''-(Diquinoxalino[2,3-a:2',3'-c]phenazine-2,3,8,9,14,15-hexayl)hexabenzoic acid
4,4',4'',4''',4'''',4'''''-(diquinoxalino[2,3-a:2',3'-c]phenazine-2,3,8,9,14,15-hexayl)hexabenzoic acid

物理化学性质

密度1.534±0.06 g/cm3(Predicted)
酸度系数(pKa)2.75±0.10(Predicted)
"2324131-31-7" 相关产品信息
1835723-09-5 1195403-94-1 1356336-67-8