返回ChemicalBook首页>CAS数据库列表>2353409-73-9

2353409-73-9

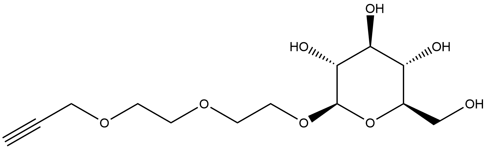
中文名称 Propargyl-PEG2-beta-D-glucose
英文名称 Propargyl-PEG2-beta-D-glucose
CAS 2353409-73-9
分子式 C13H22O8
分子量 306.31
MOL 文件 2353409-73-9.mol
2353409-73-9 结构式 2353409-73-9 结构式

基本信息

中文别名
炔-二聚乙二醇-BETA-D-GLUCOSE
英文别名
Propargyl-PEG3-beta-D-glucose
Propargyl-PEG2-beta-D-glucose

物理化学性质

沸点518.6±50.0 °C(Predicted)
密度1.34±0.1 g/cm3(Predicted)
酸度系数(pKa)12.90±0.70(Predicted)
形态Solid
颜色White to off-white
"2353409-73-9" 相关产品信息