你好!欢迎来到ChemicalBook。
登录
注册
退出
我的ChemicalBook
发布产品
产品管理
发布供应信息
黄金产品设置
大货产品设置
直通车产品设置
发布供应信息
结构式搜索
返回ChemicalBook首页
>
CAS数据库列表
>2353410-07-6
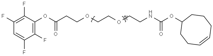
2353410-07-6
中文名称
TCO-PEG12-TFP ester
英文名称
TCO-PEG12-TFP ester
CAS
2353410-07-6
2353410-07-6 结构式
基本信息
基本信息
英文别名
TCO-PEG12-TFP ester
"2353410-07-6"
相关产品信息