返回ChemicalBook首页>CAS数据库列表>2361528-74-5

2361528-74-5

中文名称 ROR agonist-1
英文名称 ROR agonist-1
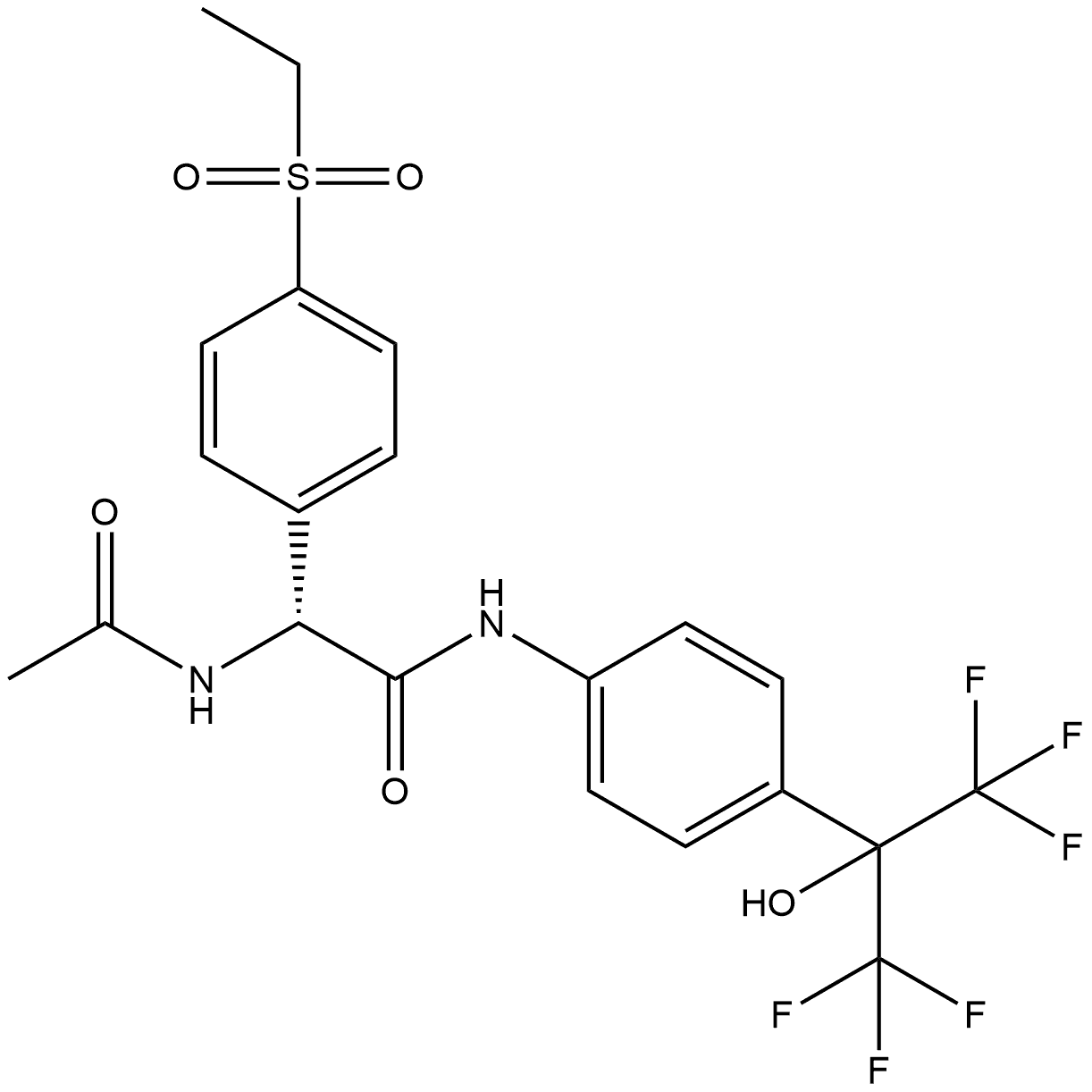
CAS 2361528-74-5
分子式 C21H20F6N2O5S
分子量 526.45
MOL 文件 2361528-74-5.mol
2361528-74-5 结构式 2361528-74-5 结构式

基本信息

中文别名
化合物 T12750
英文别名
ROR agonist-1
ROR agonist1,ROR agonist 1

物理化学性质

沸点743.4±60.0 °C(Predicted)
密度1.455±0.06 g/cm3(Predicted)
储存条件-20°C储存
溶解度溶于二甲基亚砜
酸度系数(pKa)9.24±0.15(Predicted)

常见问题列表

概述
ROR agonist-1 是一种有效、口服可利用的视黄酸受体相关孤儿受体 C2 (RORC2) 反向激动剂,抑制人类原始 TH 17 细胞产生 IL-17A 的 pIC50 为7.5。
"2361528-74-5" 相关产品信息