你好!欢迎来到ChemicalBook。
登录
注册
退出
我的ChemicalBook
发布产品
产品管理
发布供应信息
黄金产品设置
大货产品设置
直通车产品设置
发布供应信息
结构式搜索
返回ChemicalBook首页
>
CAS数据库列表
>2676196-81-7
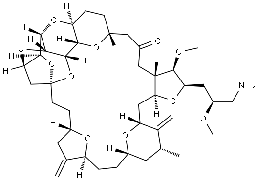
2676196-81-7
英文名称
O-Me Eribulin
CAS
2676196-81-7
2676196-81-7 结构式
基本信息
常见问题列表
基本信息
英文别名
O-Me Eribulin
常见问题列表
概述
O-Me Eribulin 是一种 Eribulin 衍生物,是 ADC 细胞毒素,可用于 ADC 合成。O-Me Eribulin 可以抑制 SKBR3、MDA-MB-468、A549 细胞的细胞活力,IC50 值分别为 0.2052、0.1827、0.5151 nM。O-Me Eribulin 可用于肿瘤的研究。
"2676196-81-7"
相关产品信息