返回ChemicalBook首页>CAS数据库列表>2770246-82-5

2770246-82-5

中文名称 化合物 HSD17B13-IN-56
英文名称 HSD17B13-IN-56
CAS 2770246-82-5
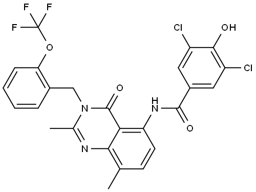
分子式 C25H18Cl2F3N3O4
分子量 552.33
MOL 文件 2770246-82-5.mol
2770246-82-5 结构式 2770246-82-5 结构式

基本信息

中文别名
化合物 HSD17B13-IN-56
英文别名
HSD17B13-IN-56

物理化学性质

密度1.49±0.1 g/cm3(Temp: 20 °C; Press: 760 Torr)(predicted)
酸度系数(pKa)5.37±0.25(predicted)

常见问题列表

概述
HSD17B13-IN-56 (Compound 89) 是一种羟基类固醇 17β-脱氢酶 13 (HSD17B13) 抑制剂,其对雌二醇的 IC50 值为 ≤ 0.1 μM。HSD17B13-IN-56 可以用于肝病、代谢性疾病或心血管疾病,如 NAFLD 或 NASH,或药物性肝损伤 (DILI) 的研究。
"2770246-82-5" 相关产品信息