返回ChemicalBook首页>CAS数据库列表>2803421-14-7

2803421-14-7

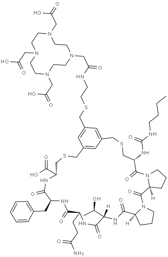
中文名称 NBU-CAYL-[CYS(TMEBN(DOTA-AET))-PRO-PRO-THR-GLN-PHE-CYS]-OH
英文名称 nBu-CAyl-{Cys(tMeBn(DOTA-AET)-Pro-Pro-Thr-GIn-Phe-Cys}-OH
CAS 2803421-14-7
分子式 C66H98N14O18S3
分子量 1471.77
MOL 文件 2803421-14-7.mol
2803421-14-7 结构式 2803421-14-7 结构式

基本信息

中文别名
NBU-CAYL-[CYS(TMEBN(DOTA-AET))-PRO-PRO-THR-GLN-PHE-CYS]-OH
英文别名
3BP-3940
nBu-CAyl-{Cys(tMeBn(DOTA-AET)-Pro-Pro-Thr-GIn-Phe-Cys}-OH
所属类别
生物化工:多肽

物理化学性质

沸点1689.2±65.0 °C(predicted)
密度1.44±0.1 g/cm3(Temp: 20 °C; Press: 760 Torr)(predicted)
酸度系数(pKa)1.83±0.10(predicted)
形态Solid
颜色White to off-white
序列nBu-CAyl-{Cys(tMeBn(DOTA-AET)-Pro-Pro-Thr-GIn-Phe-Cys}-OH

常见问题列表

用途

3BP-3940常与放射性核素联合用于肿瘤的诊断和治疗。

"2803421-14-7" 相关产品信息