返回ChemicalBook首页>CAS数据库列表>2873452-49-2

2873452-49-2

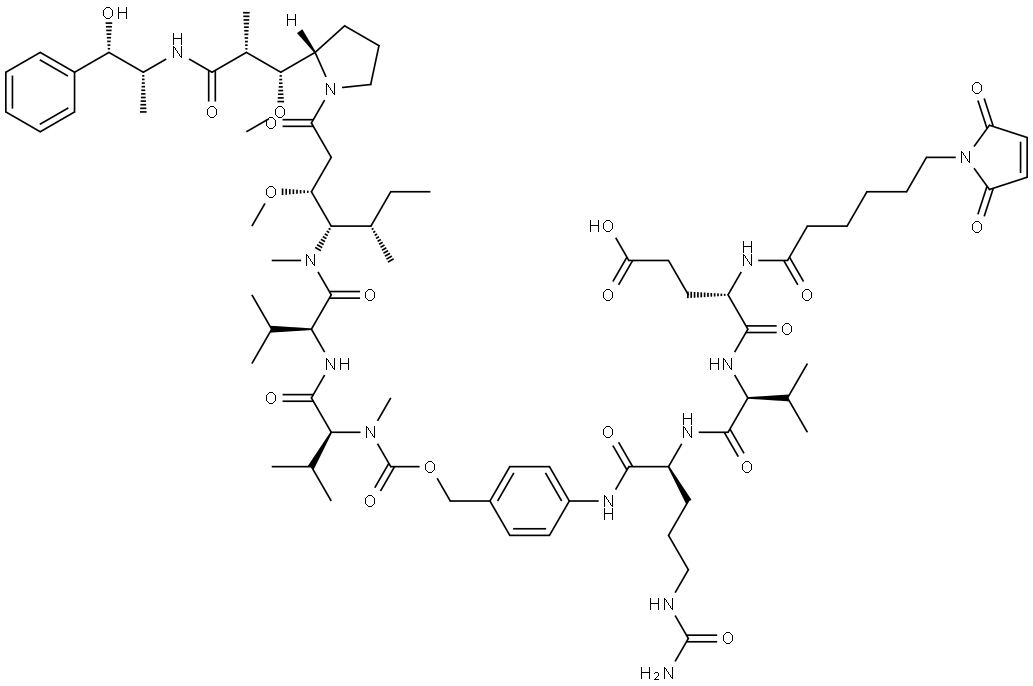
中文名称 化合物 MC-EVCIT-PAB-MMAE
英文名称 MC-EVCit-PAB-MMAE
CAS 2873452-49-2
分子式 C73H112N12O18
分子量 1445.74
MOL 文件 2873452-49-2.mol
2873452-49-2 结构式 2873452-49-2 结构式

基本信息

中文别名
化合物 MC-EVCIT-PAB-MMAE
英文别名
MC-EVCit-PAB-MMAE

物理化学性质

沸点1468.0±65.0 °C(predicted)
密度1.221±0.06 g/cm3(Temp: 20 °C; Press: 760 Torr)(predicted)
酸度系数(pKa)4.46±0.10(predicted)
形态Solid
颜色White to off-white

常见问题列表

概述
MC-EVCit-PAB-MMAE (Linker-Payload 11) 是一种 ADC (drug-linker conjugates>。MC-EVCit-PAB-MMAE 包含 ADC linker (MC-EVCit-PAB) 和有效的微管蛋白聚合抑制剂 MMAE (HY-15162)。
"2873452-49-2" 相关产品信息