返回ChemicalBook首页>CAS数据库列表>2919324-15-3

2919324-15-3

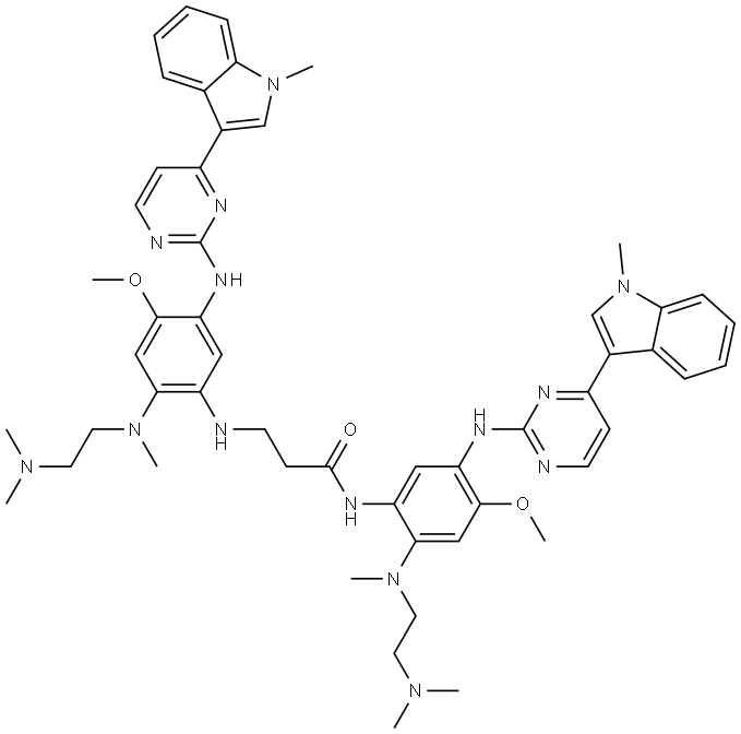
中文名称 奥西替尼杂质14
英文名称 Osimertinib Impurity 14
CAS 2919324-15-3
更新日期 2025/09/26 11:19:34
2919324-15-3 结构式 2919324-15-3 结构式

基本信息

中文别名
奥西替尼杂质23
奥西替尼杂质14
英文别名
Osimertinib Impurity 14
N-(2-hydroxy-4-methoxy-5-((4-(1-methyl-1H-indol-3-yl)pyrimidin-2-yl)amino)phenyl)acrylamide
N-(2-((2-(dimethylamino)ethyl)(methyl)amino)-4-methoxy-5-((4-(1-methyl-1H-indol-3-yl)pyrimidin-2-yl)amino)phenyl)-3-((2-((2-(dimethylamino)ethyl)(methyl)amino)-4-methoxy-5-((4-(1-methyl-1H-indol-3-yl)
"2919324-15-3" 相关产品信息