2938169-76-5
中文名称
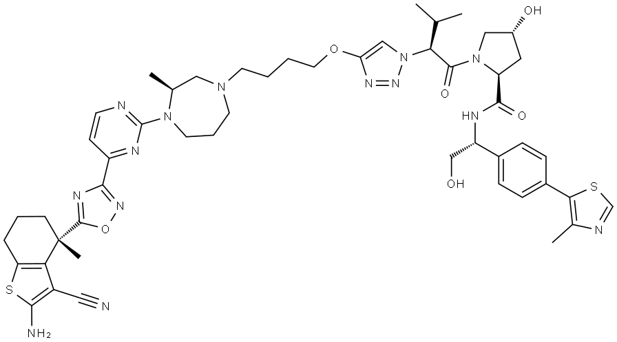
(2S,4R)-1-((S)-2-(4-(4-((S)-4-(4-(5-((S)-2-氨基-3-氰基-4-甲基-4,5,6,7-四氢苯并[B]噻吩-4-基)-1,2,4-恶二唑-3-基)嘧啶-2-基)-3-甲基-1,4-二氮杂环庚烷-1-基)丁氧基)-1H-1,2,3-三唑-1-基)-3-甲基丁酰基)-4-羟基-N-((R)-2-羟基-1-(4-(4-甲基噻唑-5-基)苯基)乙基)吡咯烷-2-甲酰胺
英文名称
ACBI3
CAS
2938169-76-5
分子式
C50H62N14O6S2
分子量
1019.25
MOL 文件
2938169-76-5.mol
更新日期
2026/04/27 12:11:54
2938169-76-5 结构式
基本信息
中文别名
(2S,4R)-1-((S)-2-(4-(4-((S)-4-(4-(5-((S)-2-氨基-3-氰基-4-甲基-4,5,6,7-四氢苯并[B]噻吩-4-基)-1,2,4-恶二唑-3-基)嘧啶-2-基)-3-甲基-1,4-二氮杂环庚烷-1-基)丁氧基)-1H-1,2,3-三唑-1-基)-3-甲基丁酰基)-4-羟基-N-((R)-2-羟基-1-(4-(4-甲基噻唑-5-基)苯基)乙基)吡咯烷-2-甲酰胺 英文别名
ACBI3(2S,4R)-1-((S)-2-(4-(4-((S)-4-(4-(5-((S)-2-Amino-3-cyano-4-methyl-4,5,6,7-tetrahydrobenzo[b]thiophen-4-yl)-1,2,4-oxadiazol-3-yl)pyrimidin-2-yl)-3-methyl-1,4-diazepan-1-yl)butoxy)-1H-1,2,3-triazol-1-yl)-3-methylbutanoyl)-4-hydroxy-N-((R)-2-hydroxy-1-(4-(4-methylthiazol-5-yl)phenyl)ethyl)pyrrolidine-2-carboxamide
2-Pyrrolidinecarboxamide, 1-[(2S)-2-[4-[4-[(3S)-4-[4-[5-[(4S)-2-amino-3-cyano-4,5,6,7-tetrahydro-4-methylbenzo[b]thien-4-yl]-1,2,4-oxadiazol-3-yl]-2-pyrimidinyl]hexahydro-3-methyl-1H-1,4-diazepin-1-yl]butoxy]-1H-1,2,3-triazol-1-yl]-3-methyl-1-oxobutyl]-4-hydroxy-N-[(1R)-2-hydroxy-1-[4-(4-methyl-5-thiazolyl)phenyl]ethyl]-, (2S,4R)-
物理化学性质
密度1.49±0.1 g/cm3(Temp: 20 °C; Press: 760 Torr)(predicted)
酸度系数(pKa)13.41±0.40(predicted)
形态Solid
颜色White to yellow
