返回ChemicalBook首页>CAS数据库列表>2948352-16-5

2948352-16-5

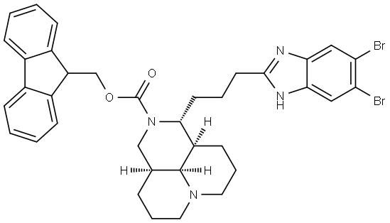
中文名称 化合物 TOPOI/PARP-1-IN-1
英文名称 TOPOI/PARP-1-IN-1
CAS 2948352-16-5
分子式 C36H38Br2N4O2
分子量 718.52
MOL 文件 2948352-16-5.mol
2948352-16-5 结构式 2948352-16-5 结构式

基本信息

中文别名
化合物 TOPOI/PARP-1-IN-1
英文别名
TOPOI/PARP-1-IN-1

物理化学性质

沸点821.7±65.0 °C(predicted)
密度1.56±0.1 g/cm3(Temp: 20 °C; Press: 760 Torr)(predicted)
酸度系数(pKa)9.85±0.10(predicted)

常见问题列表

概述
TOPOI/PARP-1-IN-1 (化合物 B6) 是一种口服有效的、低细胞毒性的 TOPOI/PARP 双重抑制剂,其对 PARP1 的 IC50 值为 0.09 μM。TOPOI/PARP-1-IN-1 能有效抑制癌细胞的增殖和迁移。TOPOI/PARP-1-IN-1 还可导致细胞周期停滞于 G0/G1 期,并诱导细胞凋亡 (apoptosis)。TOPOI/PARP-1-IN-1 对小鼠的肿瘤生长抑制率 (TGI) 为 75.4%。
"2948352-16-5" 相关产品信息