返回ChemicalBook首页>CAS数据库列表>5195-71-1

5195-71-1

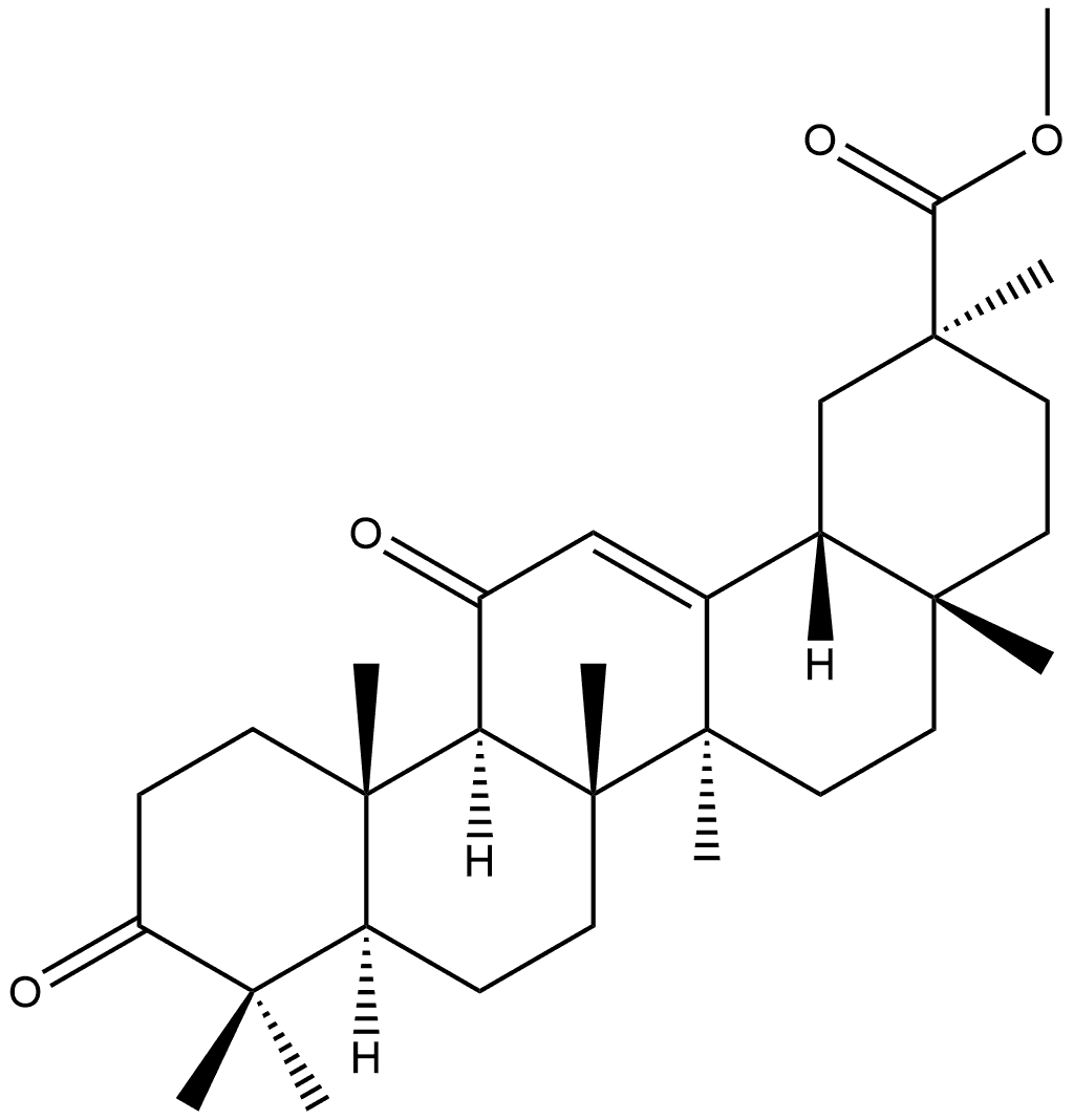
英文名称 Olean-12-en-29-oic acid, 3,11-dioxo-, methyl ester, (20β)-
CAS 5195-71-1
分子式 C31H46O4
分子量 482.69
MOL 文件 5195-71-1.mol
5195-71-1 结构式 5195-71-1 结构式

基本信息

英文别名
Olean-12-en-29-oic acid, 3,11-dioxo-, methyl ester, (20β)-

物理化学性质

熔点249-250 °C
沸点557.1±50.0 °C(Predicted)
密度1.10±0.1 g/cm3(Predicted)

常见问题列表

概述
HMGB1-IN-3 (compound E) 是一种对 HMGB1 (高迁移率族蛋白 1) 具有较强抑制活性的甘草酸衍生物,可用于脑出血的研究。
"5195-71-1" 相关产品信息