返回ChemicalBook首页>CAS数据库列表>58439-94-4

58439-94-4

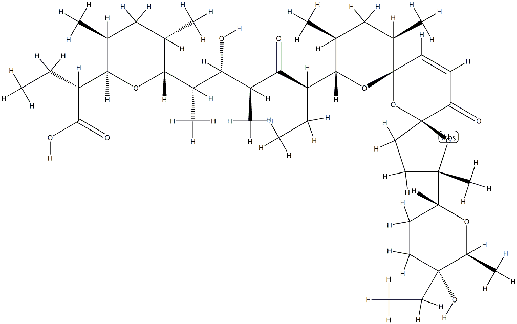
中文名称 (4S)-20-Deoxy-20-oxo-4β-methylsalinomycin
英文名称 (4S)-20-Deoxy-20-oxo-4β-methylsalinomycin
CAS 58439-94-4
分子式 C43H70O11
分子量 763.01
MOL 文件 58439-94-4.mol
58439-94-4 结构式 58439-94-4 结构式

基本信息

中文别名
化合物 T26474
英文别名
A-28086B
Narasin B
Antibiotic A-28086B
(4S)-20-Deoxy-4-methyl-20-oxosalinomycin
(4S)-20-Deoxy-20-oxo-4β-methylsalinomycin
Salinomycin, 20-deoxy-4-methyl-20-oxo-, (4S)- (9CI)

物理化学性质

沸点838.4±65.0 °C(Predicted)
密度1.17±0.1 g/cm3(Predicted)
酸度系数(pKa)4.36±0.10(Predicted)

应用领域

用途一
A28086B is an ionophore antibiotic related to narasin and salinomycin.
"58439-94-4" 相关产品信息