你好!欢迎来到ChemicalBook。
登录
注册
退出
我的ChemicalBook
发布产品
产品管理
发布供应信息
黄金产品设置
大货产品设置
直通车产品设置
发布供应信息
结构式搜索
返回ChemicalBook首页
>
CAS数据库列表
>65039-74-9
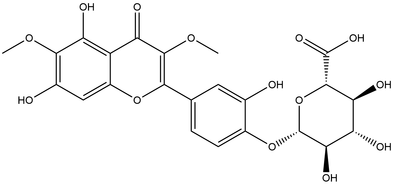
65039-74-9
英文名称
β-D-Glucopyranosiduronic acid, 4-(5,7-dihydroxy-3,6-dimethoxy-4-oxo-4H-1-benzopyran-2-yl)-2-hydroxyphenyl
CAS
65039-74-9
分子式
C23H22O14
65039-74-9 结构式
基本信息
基本信息
英文别名
β-D-Glucopyranosiduronic acid, 4-(5,7-dihydroxy-3,6-dimethoxy-4-oxo-4H-1-benzopyran-2-yl)-2-hydroxyphenyl
"65039-74-9"
相关产品信息