返回ChemicalBook首页>CAS数据库列表>73942-07-1

73942-07-1

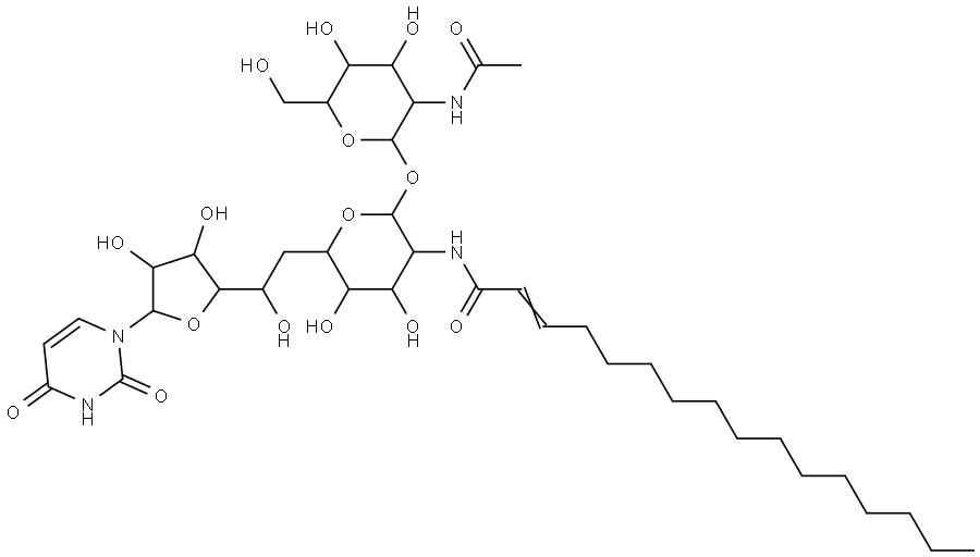
英文名称 TUNICAMYCIN C2 HOMOLOG
CAS 73942-07-1
分子式 C39H64N4O16
分子量 844.94
MOL 文件 73942-07-1.mol
73942-07-1 结构式 73942-07-1 结构式

基本信息

英文别名
TUNICAMYCIN C2)
TUNICAMYCIN C2 HOMOLOG
2,4(1H,3H)-Pyrimidinedione, 1-[(11S)-11-O-[2-(acetylamino)-2-deoxy-α-D-glucopyranosyl]-6,10-dideoxy-10-[[(2E)-1-oxo-2-hexadecenyl]amino]-L-galacto-β-D-allo-undecodialdo-1,4-furanose-11,7-pyranos-1-yl]- (9CI)

物理化学性质

密度1.40±0.1 g/cm3(Temp: 20 °C; Press: 760 Torr)(predicted)
储存条件−20°C
酸度系数(pKa)9.39±0.10(predicted)

安全数据

危险品标志T+
危险类别码26/27/28
安全说明22-36/37/39-45
危险品运输编号UN 2811 6.1/PG 2
WGK Germany3
危险等级6.1(a)
包装类别II
"73942-07-1" 相关产品信息
5405-58-3 10036-64-3