83130-01-2
83130-01-2 结构式
基本信息
中文别名
棉铃威农虫威
棉铃威 标准品
乙腈中棉铃威溶液,1000ΜG/ML
(Z)N-苄基-N-((甲基(1-甲硫基亚乙基氨基氧羰基)氨基)硫)-Β-丙氨酸乙酯
乙基(Z)-N-苄基-N-[(甲基(1-甲硫基亚乙基氨基-氧羰基)氨基)硫]-Β丙氨酸酯
棉铃威/乙基(Z)-N-苄基-N-[(甲基(1-甲硫基亚乙基氨基-氧羰基)氨基)硫]-Β丙氨酸酯
英文别名
ok135ORION
ALANYCARB
Mianlingwei
Alanycarb [iso]
Orion【pesticide】
ALANYCARB STANDARD
ALANYCARB USP/EP/BP
ethylester,(z)-ylmethyl)
Alanycarb Solution in Acetonitrile, 1000μg/mL
所属类别
生物化工:丙氨酸类衍生物物理化学性质
熔点47~52℃
沸点506.2±60.0 °C(Predicted)
密度1.18
蒸气压﹤4.7×10-6pa at 20°C
储存条件2-8°C
溶解度可溶于氯仿(少许)、甲醇(少许)
水溶解性20 mg l-1 in water (20 °C)
酸度系数(pKa)0.37±0.70(Predicted)
形态neat
主要应用agriculture
environmental
environmental
InChI1S/C17H25N3O4S2/c1-5-23-16(21)11-12-20(13-15-9-7-6-8-10-15)26-19(3)17(22)24-18-14(2)25-4/h6-10H,5,11-13H2,1-4H3/b18-14-
InChIKeyGMAUQNJOSOMMHI-JXAWBTAJSA-N
SMILESCCOC(=O)CCN(Cc1ccccc1)SN(C)C(=O)O\N=C(\C)SC
安全数据
警示词危险
危险性描述H302-H330-H400
危险品标志T+,N
危险类别码22-26-50
安全说明28-36/37-45-61
危险品运输编号UN2811 - class 6.1 - PG 2 - EHS - Toxic solids, organic, n.o.s., HI: all
WGK Germany3
RTECS号RO0965000
存储类别6.1A - Combustible acute toxic Cat. 1 and 2
very toxic hazardous materials
very toxic hazardous materials
危险性类别Acute Tox. 2 Inhalation
Acute Tox. 4 Oral
Aquatic Acute 1
Acute Tox. 4 Oral
Aquatic Acute 1
常见问题列表
化学性质
棉铃威纯品为晶体,熔点46.6~47.0℃。蒸气压<0.0047mPa(20℃)。相对密度1.29(20℃)。KowlgP=3.57士0.06。水中溶解度(20℃)29.6mg/L,甲苯、二氯甲烷、甲醇、丙酮、乙酸乙酯中溶解度均>>1000g/l。100℃以下稳定,54℃时30d分解0.2%~1.0%,中性和弱碱条件下稳定,酸性和强碱性下不稳定,在日光下的玻璃板上的DT50为6h。
毒性
雄大鼠急性经口LD50 440mg/kg。雄大鼠急性经皮LD50>2000mg/kg,对兔眼睛微弱刺激,对兔皮肤无刺激性。大鼠吸入LC50(4h)>205mg/m3空气。大鼠NOEL(2y)30mg/kg饲料,ADI 0.011mg/kg。在大鼠和兔Ames试验中为阴性,无致突变性。
作用机理
棉铃威具有触杀,胃毒作用。应用
棉铃威适用作物蔬菜、葡萄、棉花、烟草、蔓生植物、柑橘,可防治鞘翅目、缨翅目、半翅目、缕翅目和鳞翅目害虫。
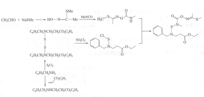
合成方法
CH3C(SCH3)NOC(O)NHCH3与 CISN(CH2CH2COOC2H5)CH2C6H5及三乙胺在二氯甲烷中反应2h,即制得棉铃威。反应式如下:

