847749-37-5
中文名称
啶菌噁唑溶液,1000PPM
英文名称
pyrisoxazole
CAS
847749-37-5
分子式
C16H17ClN2O
分子量
288.77
MOL 文件
847749-37-5.mol
更新日期
2026/05/27 08:42:32
847749-37-5 结构式
基本信息
中文别名
啶菌噁唑啶菌噁唑溶液,1000PPM
甲醇中啶菌噁唑溶液,100ΜG/ML
英文别名
pyrisoxazolepyrisoxazole Solution, 1000ppm
Pyrisoxazole Solution in Methanol, 100μg/mL
Pyridine, 3-[5-(4-chlorophenyl)-2,3-dimethyl-3-isoxazolidinyl]-
物理化学性质
熔点54 - 56°C
沸点401.4±55.0 °C(Predicted)
密度1.189±0.06 g/cm3(Predicted)
储存条件Amber Vial, Refrigerator
溶解度可溶于氯仿(少许)、DMSO(少许)、甲醇(少许)
酸度系数(pKa)4.91±0.12(Predicted)
形态固体
颜色Pale Yellow to Light Yellow Thick Oil to
稳定性感光
常见问题列表
理化性质
啶菌噁唑为浅黄色黏稠油状物,易溶于丙酮、乙酸乙酯、氯仿、乙醚,微溶于石油醚,不溶于水。
应用
在离体情况下,啶菌噁唑对植物病原菌有极强的抑菌活性。通过叶片接种防治黄瓜灰霉病,在125~500mg/L的浓度下防治效果为90.67%~100%。啶菌噁唑乳油对小麦、黄瓜白粉病也有很好的防治作用,在125~500mg/L的浓度下对黄瓜白粉病的防治效果在95%以上,对白粉病的杀菌活性与腈菌唑基本相似,高于粉锈宁。田间试验结果表明,在200~400g(a. i. )/hm2的剂量下对众多类型的灰霉病均具有很好的防效。
毒性
毒性大鼠急性经口 LD50 (mg/kg):雄2000、雌 1710。对大鼠急性经皮LD50>2000mg/kg(雄,雌)。兔子急性经皮LD50>2000mg/kg,对兔皮肤、眼睛刺激均无刺激。Ames试验结果为阴性。
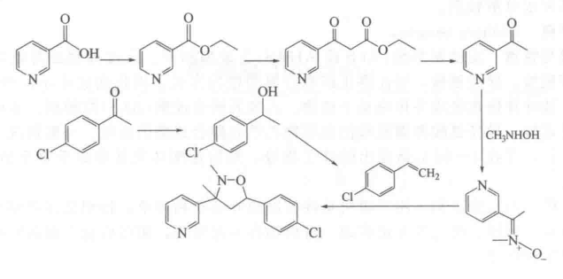
合成方法
以烟酸、硝基甲烷、4-氯苯乙酮为原料,经如下反应即可制得啶菌噁唑:
