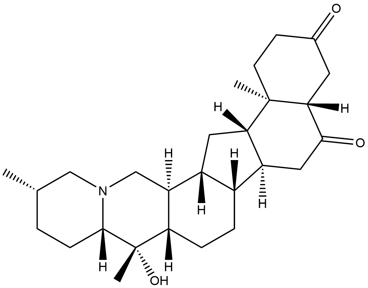
imperialone

imperialone Struktur
23521-53-1
CAS-Nr.
23521-53-1
Englisch Name:
imperialone
Synonyma:
Cevane-3,6-dione, 20-hydroxy-, (5α)-
CBNumber:
CB31381125
Summenformel:
C27H41NO3
Molgewicht:
427.62
MOL-Datei:
23521-53-1.mol

imperialone Eigenschaften

Schmelzpunkt:
165-168 °C
Siedepunkt:
565.8±50.0 °C(Predicted)
Dichte
1.18±0.1 g/cm3(Predicted)
pka
14.57±0.60(Predicted)

Sicherheit

imperialone Chemische Eigenschaften,Einsatz,Produktion Methoden

imperialone Upstream-Materialien And Downstream Produkte

Upstream-Materialien

Downstream Produkte


imperialone Anbieter Lieferant Produzent Hersteller Vertrieb Händler.

Global( 0)Lieferanten
Firmenname Telefon E-Mail Land Produktkatalog Edge Rate

  • Cevane-3,6-dione, 20-hydroxy-, (5α)-
  • 23521-53-1
Copyright 2019 © ChemicalBook. All rights reserved