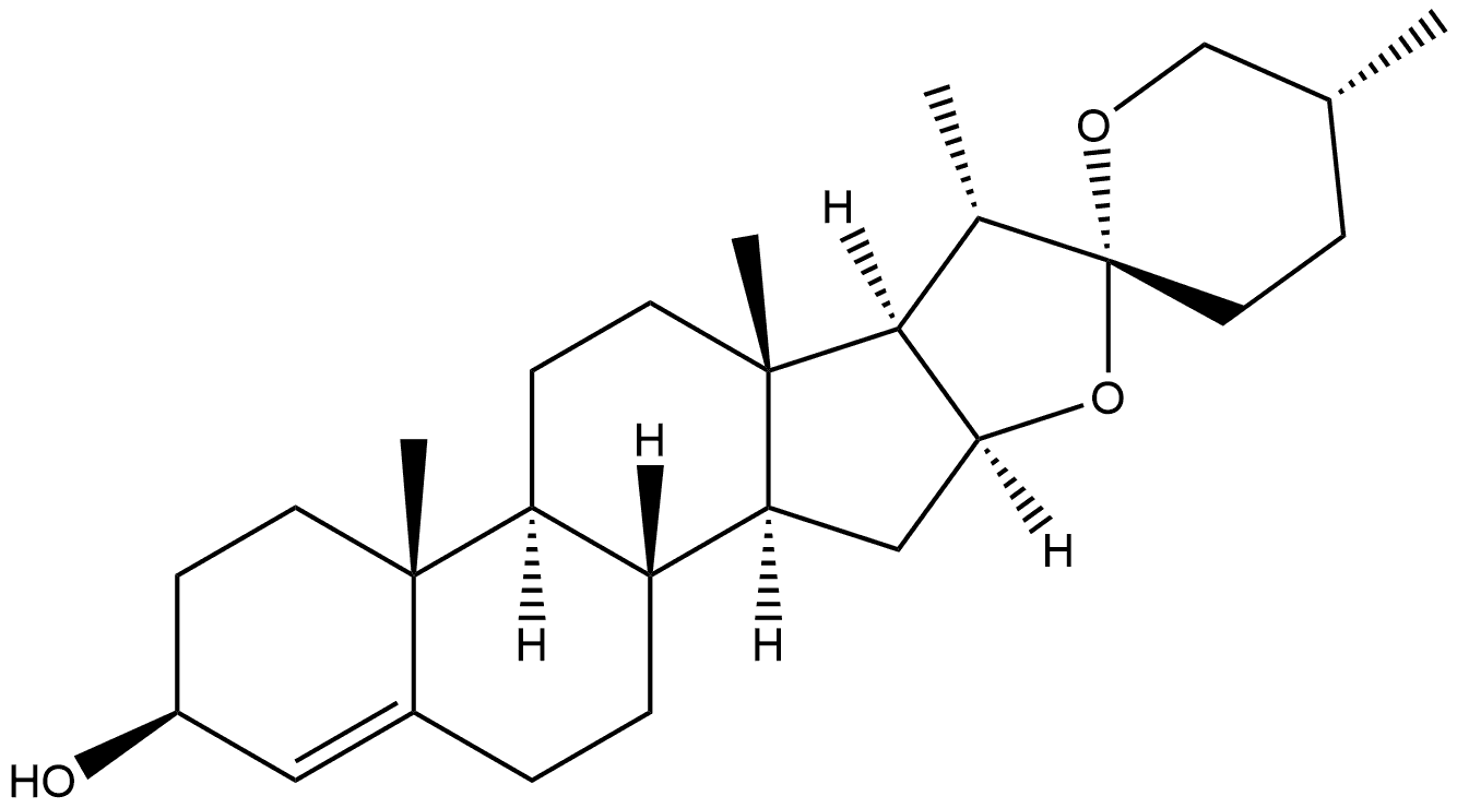
Spirost-4-en-3-ol, (3β,25R)-

Spirost-4-en-3-ol, (3β,25R)- Struktur
16653-41-1
CAS-Nr.
16653-41-1
Englisch Name:
Spirost-4-en-3-ol, (3β,25R)-
Synonyma:
Spirost-4-en-3-ol, (3β,25R)-
CBNumber:
CB410105245
Summenformel:
C27H42O3
Molgewicht:
414.62
MOL-Datei:
16653-41-1.mol

Spirost-4-en-3-ol, (3β,25R)- Eigenschaften

Siedepunkt:
528.5±50.0 °C(Predicted)
Dichte
1.13±0.1 g/cm3(Predicted)
pka
14.39±0.70(Predicted)

Sicherheit

Spirost-4-en-3-ol, (3β,25R)- Chemische Eigenschaften,Einsatz,Produktion Methoden

Spirost-4-en-3-ol, (3β,25R)- Upstream-Materialien And Downstream Produkte

Upstream-Materialien

Downstream Produkte


Spirost-4-en-3-ol, (3β,25R)- Anbieter Lieferant Produzent Hersteller Vertrieb Händler.

Global( 0)Lieferanten
Firmenname Telefon E-Mail Land Produktkatalog Edge Rate

  • Spirost-4-en-3-ol, (3β,25R)-
  • 16653-41-1
Copyright 2019 © ChemicalBook. All rights reserved