ChemicalBook >> CAS DataBase List >>3,5,9-Trioxa-4-phosphapentacosan-1-aminium, 7-[3-[(3S,4S)-9-ethenyl-14-ethyl-4,8,13,18-tetramethyl-20-oxo-3-phorbinyl]-1-oxopropoxy]-4-hydroxy-N,N,N-trimethyl-10-oxo-, inner salt, 4-oxide, (7R)-

3,5,9-Trioxa-4-phosphapentacosan-1-aminium, 7-[3-[(3S,4S)-9-ethenyl-14-ethyl-4,8,13,18-tetramethyl-20-oxo-3-phorbinyl]-1-oxopropoxy]-4-hydroxy-N,N,N-trimethyl-10-oxo-, inner salt, 4-oxide, (7R)-

CAS No.
1287795-07-6
Chemical Name:
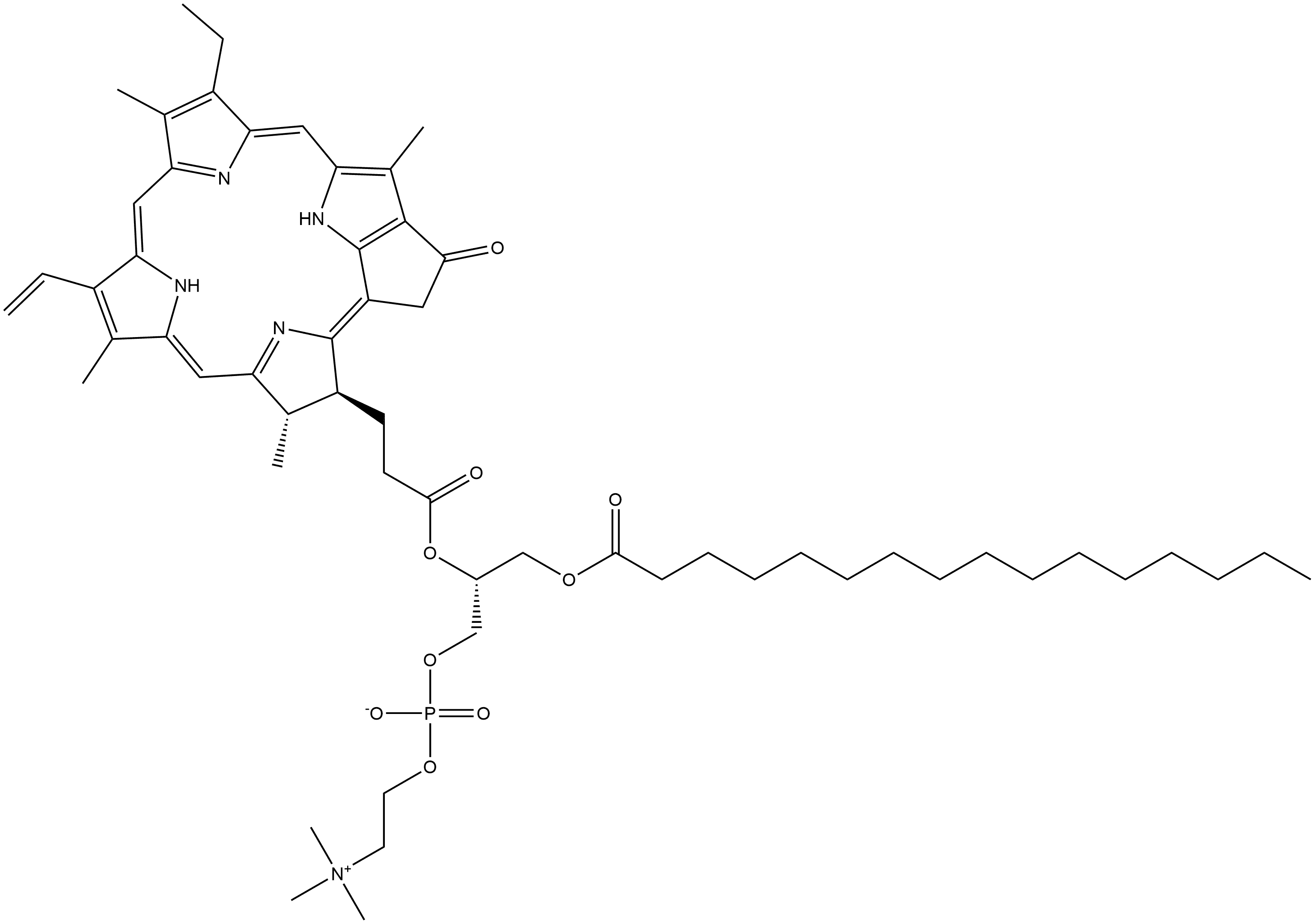
3,5,9-Trioxa-4-phosphapentacosan-1-aminium, 7-[3-[(3S,4S)-9-ethenyl-14-ethyl-4,8,13,18-tetramethyl-20-oxo-3-phorbinyl]-1-oxopropoxy]-4-hydroxy-N,N,N-trimethyl-10-oxo-, inner salt, 4-oxide, (7R)-
Synonyms
1-Palmitoyl-2-Pyropheophorbide a-sn-glycero-3-PC;3,5,9-Trioxa-4-phosphapentacosan-1-aminium, 7-[3-[(3S,4S)-9-ethenyl-14-ethyl-4,8,13,18-tetramethyl-20-oxo-3-phorbinyl]-1-oxopropoxy]-4-hydroxy-N,N,N-trimethyl-10-oxo-, inner salt, 4-oxide, (7R)-
CBNumber:
CB913369502
Molecular Formula:
C57H82N5O9P
Molecular Weight:
1012.27
MDL Number:
MOL File:
1287795-07-6.mol
Last updated:2025-08-21 11:10:20

3,5,9-Trioxa-4-phosphapentacosan-1-aminium, 7-[3-[(3S,4S)-9-ethenyl-14-ethyl-4,8,13,18-tetramethyl-20-oxo-3-phorbinyl]-1-oxopropoxy]-4-hydroxy-N,N,N-trimethyl-10-oxo-, inner salt, 4-oxide, (7R)- Properties

solubility DMF: 1 mg/ml
DMSO: 1 mg/ml
Ethanol: 1 mg/ml

3,5,9-Trioxa-4-phosphapentacosan-1-aminium, 7-[3-[(3S,4S)-9-ethenyl-14-ethyl-4,8,13,18-tetramethyl-20-oxo-3-phorbinyl]-1-oxopropoxy]-4-hydroxy-N,N,N-trimethyl-10-oxo-, inner salt, 4-oxide, (7R)- Chemical Properties,Uses,Production

Description

1-Palmitoyl-2-pyropheophorbide a-sn-glycero-3-PC is a phospholipid-porphyrin conjugate that is composed of phosphatidylcholine containing palmitic acid (Item No. 10006627) at the sn-1 position and the photosensitizer pyropheophorbide a (Item No. 21371) at the sn-2 position.1 Lipid nanoparticles (LNPs) containing 1-palmitoyl-2-pyropheophorbide a-sn-glycero-3-PC and encapsulating FAM-labeled siRNA are dissociated under irradiation with near-infrared light (NIR) in PC3-Luc6 cells. 1-Palmitoyl-2-pyropheophorbide a-sn-glycero-3-PC then enters the endolysosomal membrane and generates reactive oxygen species (ROS), which disrupt the membrane and allow the release of FAM-labeled siRNA into the cytosol. 1-Palmitoyl-2-pyropheophorbide a-sn-glycero-3-PC-stabilized nanoemulsions loaded with the mitotic inhibitor paclitaxel (Item No. 10461), combined with laser irradiation, reduce tumor growth and increase survival in a KB squamous cell carcinoma mouse xenograft model.2WARNING This product is not for human or veterinary use.

References

[1] YULIN MO, GANG ZHENG*   Light-Activated siRNA Endosomal Release (LASER) by Porphyrin Lipid Nanoparticles[J]. ACS Nano, 2023, 17 5: 4688-4703. DOI: 10.1021/acsnano.2c10936
[2] ENLING CHANG. Porphyrin-lipid stabilized paclitaxel nanoemulsion for combined photodynamic therapy and chemotherapy.[J]. Journal of Nanobiotechnology, 2021: 154. DOI: 10.1186/s12951-021-00898-1

3,5,9-Trioxa-4-phosphapentacosan-1-aminium, 7-[3-[(3S,4S)-9-ethenyl-14-ethyl-4,8,13,18-tetramethyl-20-oxo-3-phorbinyl]-1-oxopropoxy]-4-hydroxy-N,N,N-trimethyl-10-oxo-, inner salt, 4-oxide, (7R)- Preparation Products And Raw materials

Raw materials

Preparation Products

3,5,9-Trioxa-4-phosphapentacosan-1-aminium, 7-[3-[(3S,4S)-9-ethenyl-14-ethyl-4,8,13,18-tetramethyl-20-oxo-3-phorbinyl]-1-oxopropoxy]-4-hydroxy-N,N,N-trimethyl-10-oxo-, inner salt, 4-oxide, (7R)- Suppliers

Global( 5)Suppliers
Supplier Tel Email Country ProdList Advantage
Shanghai Easy CDMO Co.,Ltd 021-61734564 13854185395; info@easycdmo.com China 10030 58
Shanghai Yifei Biotechnology Co. , Ltd. 021-65675885 18964387627 customer_service@efebio.com China 11973 58
Jilin Chinese Academy of Sciences-yanshen Technology 18143011203 ET-market@chemextension.com China 31138 58
Cayman Chemical Company 800-364-9897 sales@caymanchem.com China 6838 58
3,5,9-Trioxa-4-phosphapentacosan-1-aminium, 7-[3-[(3S,4S)-9-ethenyl-14-ethyl-4,8,13,18-tetramethyl-20-oxo-3-phorbinyl]-1-oxopropoxy]-4-hydroxy-N,N,N-trimethyl-10-oxo-, inner salt, 4-oxide, (7R)- 1-Palmitoyl-2-Pyropheophorbide a-sn-glycero-3-PC 1287795-07-6 C57H82N5O9P