Boc-D-丝氨酸新闻专题

Boc-D-丝氨酸的结构性质与医药应用
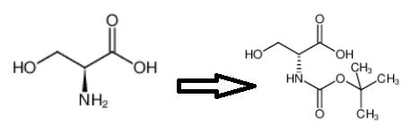
Boc-D-丝氨酸是一种氨基酸衍生物,可由D-丝氨酸和二碳酸二叔丁酯通过缩合反应制备得到,它在化学工业领域中主要用作有机合成中间体和医药化学原料。
2024/10/30 9:54:50
阅读量:444

Boc-D-丝氨酸的制备
在碱性条件下以DL-丝氨酸和氯乙酰氯为原料反应,减压蒸干后用乙酸乙酯萃取,经活性炭处理、酰化酶I拆分后得D-丝氨酸。D-丝氨酸经二碳酸二叔丁酯的氨基保护,制备得到目标化合物Boc-D-丝氨酸。
2022/8/17 9:30:02
阅读量:1237