| | 646451-06-1 Basic information More.. |
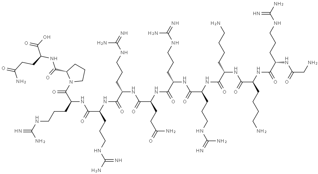
| Product Name: | Dermaseptin TFA | | Synonyms: | Dermaseptin TFA;L-Glutamine, glycyl-L-arginyl-L-lysyl-L-lysyl-L-arginyl-L-arginyl-L-glutaminyl-L-arginyl-L-arginyl-L-arginyl-L-prolyl- | | CAS: | 646451-06-1 | | MF: | C65H124N34O15 | | MW: | 1621.9 | | EINECS: | | | Mol File: | 646451-06-1.mol |  |
|
|
646451-06-1
Recommend Suppliers |
1
|