| |  |  | 1643673-51-1 Basic information  More.. | 
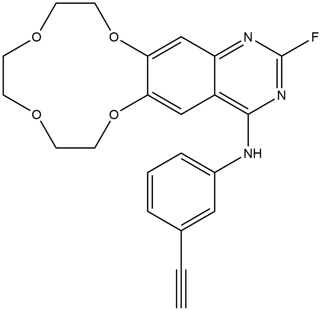
 | Product Name: | Icotinib Impurity 3 |  | Synonyms: | Icotinib Impurity 3;2-Deoxyribose,9CI,8CI-alpha-D-Pyranose-form |  | CAS: | 1643673-51-1 |  | MF: | C22H20FN3O4 |  | MW: | 409.41 |  | EINECS: |  |  | Mol File: | 1643673-51-1.mol |  |  | 
                                    
                | 
                    
                    
                        
                            
                                | 1643673-51-1
                                    Recommend Suppliers |  
                    
                            1
                        
                 |