POM2-C-HMBP|化合物 POM2-C-HMBP
| | POM2-C-HMBP|化合物 POM2-C-HMBP 基本信息 更多信息 |
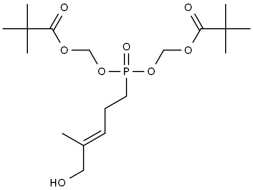
| 中文名称: | 化合物 POM2-C-HMBP | | 中文同义词: | 化合物 POM2-C-HMBP | | 英文名称: | POM2-C-HMBP | | 英文同义词: | POM2-C-HMBP;Propanoic acid, 2,2-dimethyl-, 3-[(3E)-5-hydroxy-4-methyl-3-penten-1-yl]-8,8-dimethyl-3-oxido-7-oxo-2,4,6-trioxa-3-phosphanon-1-yl ester | | CAS号: | 1656284-12-6 | | 分子式: | C18H33O8P | | 分子量: | 408.42 | | EINECS号: | |  |
|
| 按国家浏览POM2-C-HMBP国外供应商 |
中国供应商 |
|
|
建议您优先选择企业会员,我们对企业会员产品有严格审核。 |
|
1
|