| | PSMA targeting peptide| 基本信息 更多信息 |
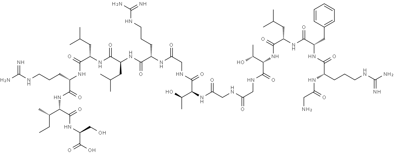
| 中文名称: | | | 中文同义词: | | | 英文名称: | PSMA targeting peptide | | 英文同义词: | PSMA targeting peptide;PSMA targeting peptide、PSMA-1;L-Serine, glycyl-L-arginyl-L-phenylalanyl-L-leucyl-L-threonylglycylglycyl-L-threonylglycyl-L-arginyl-L-leucyl-L-leucyl-L-arginyl-L-isoleucyl- | | CAS号: | 2042750-71-8 | | 分子式: | C70H122N24O19 | | 分子量: | 1603.87 | | EINECS号: | |  |
|
| 按国家浏览PSMA targeting peptide国外供应商 |
中国供应商 |
|
PSMA targeting peptide 推荐供应商 |
|
|
建议您优先选择企业会员,我们对企业会员产品有严格审核。 |
|
1
|