(Ac)Phe-Lys(Alloc)-PABC-PNP|
| | (Ac)Phe-Lys(Alloc)-PABC-PNP| 基本信息 更多信息 |
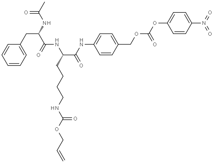
| 中文名称: | | | 中文同义词: | 烯丙基((S)-5-((S)-2-乙酰氨基-3-苯基丙酰胺基)-6-(((4-(((((4-硝基苯氧基)羰基)氧基)甲基)苯基)氨基)-6-氧己基 氨基甲酸酯 | | 英文名称: | (Ac)Phe-Lys(Alloc)-PABC-PNP | | 英文同义词: | [4-[[(2S)-2-[[(2S)-2-acetamido-3-phenylpropanoyl]amino]-6-(prop-2-enoxycarbonylamino)hexanoyl]amino]phenyl]methyl (4-nitrophenyl) carbonate;{4-[(2S)-2-[(2S)-2-ACETAMIDO-3-PHENYLPROPANAMIDO]-6-{[(PROP-2-EN-1-YLOXY)CARBONYL]AMINO}HEXANAMIDO]PHENYL}METHYL 4-NITROPHENYL CARBONATE | | CAS号: | 2070009-39-9 | | 分子式: | C35H39N5O10 | | 分子量: | 689.71 | | EINECS号: | |  |
|
| 按国家浏览(Ac)Phe-Lys(Alloc)-PABC-PNP国外供应商 |
中国供应商 |
|
(Ac)Phe-Lys(Alloc)-PABC-PNP 推荐供应商 |
|
|
建议您优先选择企业会员,我们对企业会员产品有严格审核。 |
|
1
|