| | 1965291-14-8 Basic information More.. |
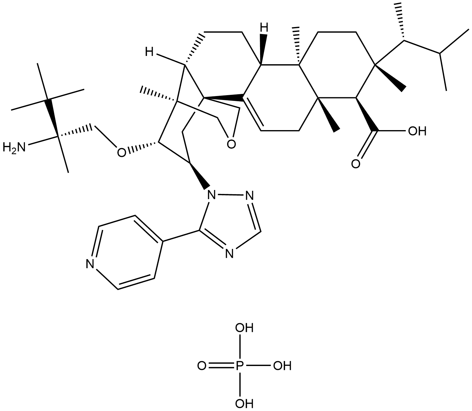
| Product Name: | SCY-078 phosphate | | Synonyms: | SCY-078 phosphate;Ibrexafungerp phosphate | | CAS: | 1965291-14-8 | | MF: | C44H67N5O4.H3O4P | | MW: | 828.03 | | EINECS: | | | Mol File: | Mol File |  |
|
|
1965291-14-8 Recommend
Suppliers |
|
|
Recommend You Select Member Companies. |
|
1
|