| | D-Xylobiose|D-木二糖 基本信息 更多信息 |
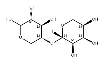
| 中文名称: | D-木二糖 | | 中文同义词: | D-木二糖;(3R,4R,5R)-5-(((2S,3R,4S,5R)-3,4,5-三羟基四氢-2H-吡喃-2-基)氧基)四氢-2H-吡喃-2,3,4-三醇 | | 英文名称: | D-Xylobiose | | 英文同义词: | D-Xylobiose;D-Xylopyranose, 4-O-β-D-xylopyranosyl-;(3R,4R,5R)-5-(((2S,3R,4S,5R)-3,4,5-trihydroxytetrahydro-2H-pyran-2-yl)oxy)tetrahydro-2H-pyran-2,3,4-triol | | CAS号: | 83113-52-4 | | 分子式: | C10H18O9 | | 分子量: | 282.25 | | EINECS号: | |  |
|
| 按国家浏览D-Xylobiose国外供应商 |
中国供应商 |
|
|
建议您优先选择企业会员,我们对企业会员产品有严格审核。 |
|
1
|