| | 661470-05-9 Basic information More.. |
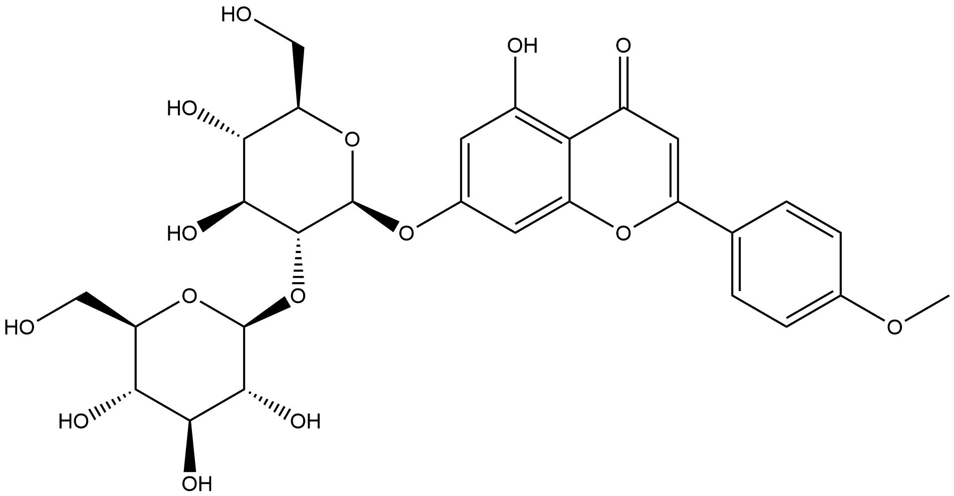
| Product Name: | 4H-1-Benzopyran-4-one, 7-[(2-O-β-D-glucopyranosyl-β-D-glucopyranosyl)oxy]-5-hydroxy-2-(4-methoxyphenyl)- | | Synonyms: | 4H-1-Benzopyran-4-one, 7-[(2-O-β-D-glucopyranosyl-β-D-glucopyranosyl)oxy]-5-hydroxy-2-(4-methoxyphenyl)-;Acacetin 7-O-sophoroside;Acacetin 7-O-β-D-glucopyranosyl-(1→2)-β-D-glucopyranoside | | CAS: | 661470-05-9 | | MF: | C28H32O15 | | MW: | 608.54 | | EINECS: | | | Mol File: | Mol File |  |
|
|
661470-05-9 Recommend
Suppliers |
|
|
Recommend You Select Member Companies. |
|
1
|