| | 315716-56-4 Basic information More.. |
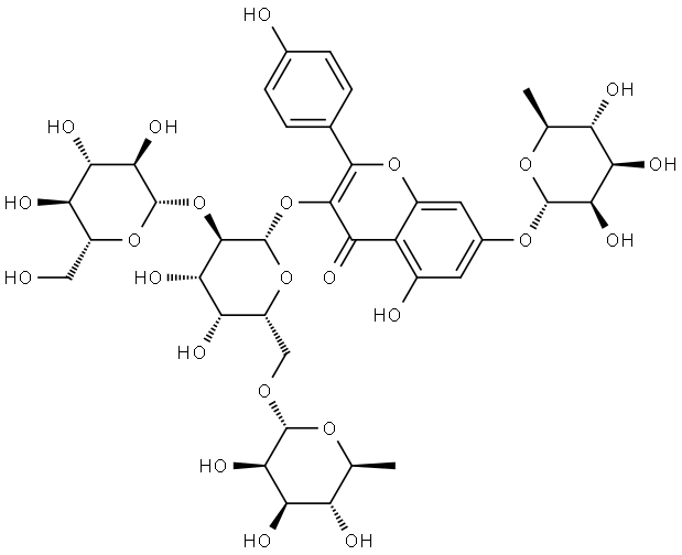
| Product Name: | Kaempferol 3-O-β-D-glucopyranosyl-(1→2)[α-L-rhamnopyranosyl-(1→6]-β-D-galactopyranosyl-7-O-a-L-rhamnopyranoside | | Synonyms: | Kaempferol 3-O-β-D-glucopyranosyl-(1→2)[α-L-rhamnopyranosyl-(1→6]-β-D-galactopyranosyl-7-O-a-L-rhamnopyranoside;4H-1-Benzopyran-4-one, 3-[(O-6-deoxy-α-L-mannopyranosyl-(1→6)-O-[β-D-glucopyranosyl-(1→2)]-β-D-galactopyranosyl)oxy]-7-[(6-deoxy-α-L-mannopyranosyl)oxy]-5-hydroxy-2-(4-hydroxyphenyl)- | | CAS: | 315716-56-4 | | MF: | C39H50O24 | | MW: | 902.8 | | EINECS: | | | Mol File: | Mol File |  |
|
|
315716-56-4 Recommend
Suppliers |
|
|
Recommend You Select Member Companies. |
|
1
|