PROTAC SMARCA2 degrader-27|化合物 PROTAC SMARCA2 degrader-27
| | PROTAC SMARCA2 degrader-27|化合物 PROTAC SMARCA2 degrader-27 基本信息 更多信息 |
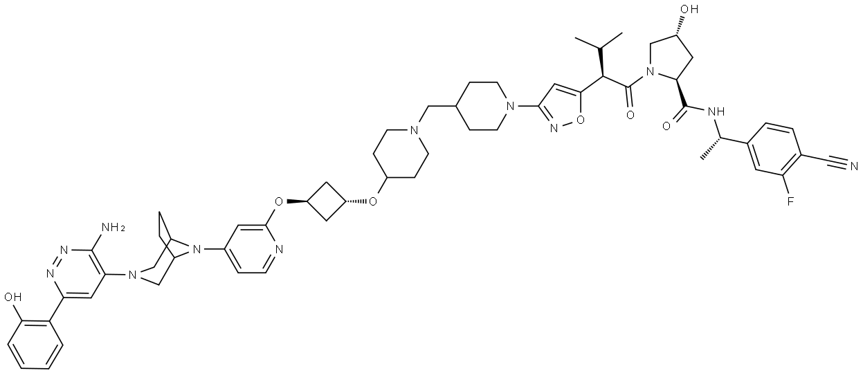
| 中文名称: | 化合物 PROTAC SMARCA2 degrader-27 | | 中文同义词: | 化合物 PROTAC SMARCA2 degrader-27 | | 英文名称: | PROTAC SMARCA2 degrader-27 | | 英文同义词: | PROTAC SMARCA2 degrader-27;2-Pyrrolidinecarboxamide, 1-[(2R)-2-[3-[4-[[4-[[trans-3-[[4-[3-[3-amino-6-(2-hydroxyphenyl)-4-pyridazinyl]-3,8-diazabicyclo[3.2.1]oct-8-yl]-2-pyridinyl]oxy]cyclobutyl]oxy]-1-piperidinyl]methyl]-1-piperidinyl]-5-isoxazolyl]-3-methyl-1-oxobutyl]-N-[(1S)-1-(4-cyano-3-fluorophenyl)ethyl]-4-hydroxy-, (2S,4R)- | | CAS号: | 2410314-57-5 | | 分子式: | | | 分子量: | 1067.26 | | EINECS号: | |  |
|
| 按国家浏览PROTAC SMARCA2 degrader-27国外供应商 |
中国供应商 |
|
PROTAC SMARCA2 degrader-27 推荐供应商 |
|
|
建议您优先选择企业会员,我们对企业会员产品有严格审核。 |
|
1
|