发布供应信息
|
登陆
|
注册
|
|
|
发布供应信息
|
欢迎!
|
退出
|
我的ChemicalBook
|
|
|
添加到收藏夹
|
首页
|
我收藏的公司列表
产 品
求购信息
供应信息
化工站点
热门关键字:
阿维菌素
,
富马酸二甲酯
,
焦磷酸钾
,
拉米夫定
,
十二烷基硫酸钠
GJG057|
GJG057| 基本信息
更多信息
中文名称:
中文同义词:
英文名称:
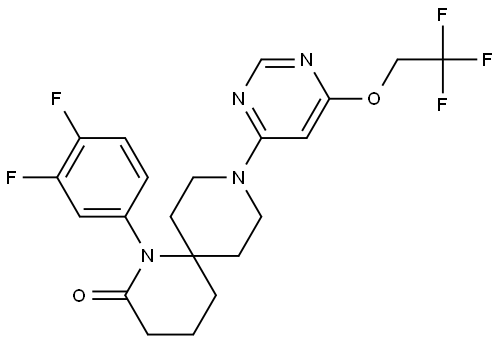
GJG057
英文同义词:
GJG057
;
1,9-Diazaspiro[5.5]undecan-2-one, 1-(3,4-difluorophenyl)-9-[6-(2,2,2-trifluoroethoxy)-4-pyrimidinyl]-
CAS号:
2761767-18-2
分子式:
C21H21F5N4O2
分子量:
456.41
EINECS号:
信息错误报告
您的Email:
按国家浏览
GJG057
国外供应商
中国供应商
GJG057
推荐
供应商
建议您优先选择企业会员,我们对企业会员产品有严格审核。
1
主页
|
关于我们
|
企业会员服务
|
广告业务
|
联系我们
|
旧版入口
|
中文MSDS
|
CAS Index
|
化工产品目录
|
常用化学品CAS列表
Copyright © 2016 ChemicalBook
京ICP备07040585号
All rights reserved.