| | 1005031-38-8 Basic information More.. |
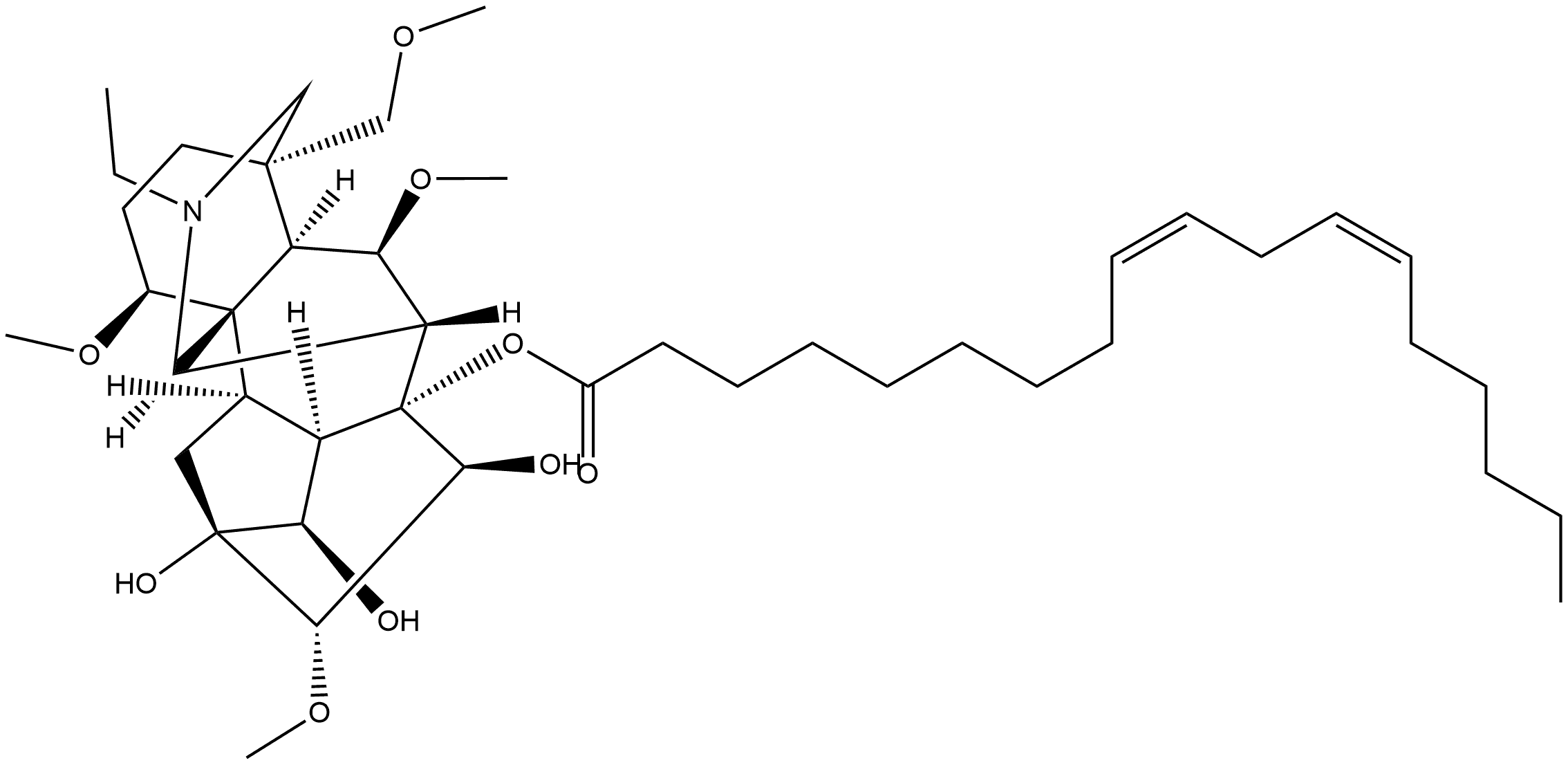
| Product Name: | 3-Deoxyaconine-8-linoleate | | Synonyms: | 3-Deoxyaconine-8-linoleate;Aconitane-8,13,14,15-tetrol, 20-ethyl-1,6,16-trimethoxy-4-(methoxymethyl)-, 8-[(9Z,12Z)-9,12-octadecadienoate], (1α,6α,14α,15α,16β)- | | CAS: | 1005031-38-8 | | MF: | C43H71NO9 | | MW: | 746.03 | | EINECS: | | | Mol File: | Mol File |  |
|
|
1005031-38-8 Recommend
Suppliers |
|
|
Recommend You Select Member Companies. |
|
1
|