| | 254444-71-8 Basic information More.. |
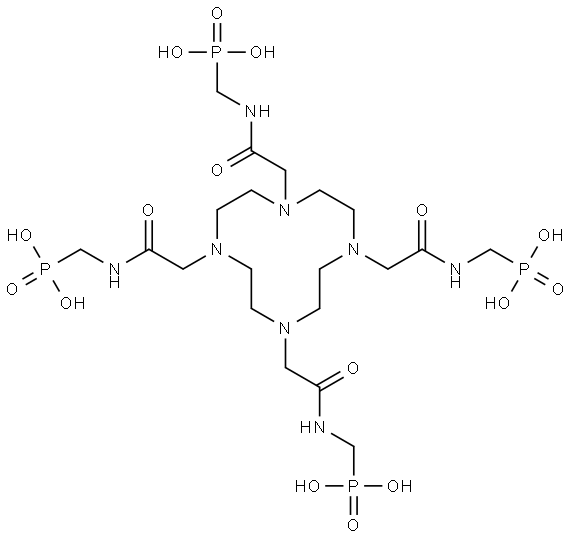
| Product Name: | DOTA-4AMP | | Synonyms: | DOTA-4AMP;Phosphonic acid, P,P',P'',P'''-[1,4,7,10-tetraazacyclododecane-1,4,7,10-tetrayltetrakis[(1-oxo-2,1-ethanediyl)iminomethylene]]tetrakis-;(((2,2',2'',2'''-(1,4,7,10-Tetraazacyclododecane-1,4,7,10-tetrayl)tetrakis(acetyl))tetrakis(azanediyl))tetrakis(methylene))tetrakis(phosphonic acid) | | CAS: | 254444-71-8 | | MF: | C20H44N8O16P4 | | MW: | 776.5 | | EINECS: | | | Mol File: | Mol File |  |
|
|
254444-71-8 Recommend
Suppliers |
|
|
Recommend You Select Member Companies. |
|
1
|