| | 2022956-47-2 Basic information More.. |
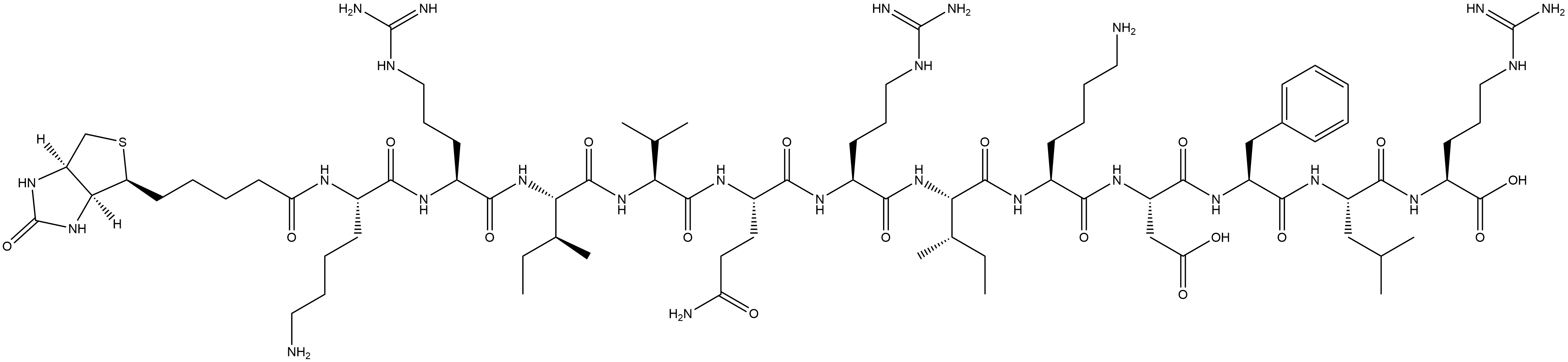
| Product Name: | Biotinyl-KR-12 (human) | | Synonyms: | Biotinyl-KR-12 (human);L-Arginine, N2-[5-[(3aS,4S,6aR)-hexahydro-2-oxo-1H-thieno[3,4-d]imidazol-4-yl]-1-oxopentyl]-L-lysyl-L-arginyl-L-isoleucyl-L-valyl-L-glutaminyl-L-arginyl-L-isoleucyl-L-lysyl-L-α-aspartyl-L-phenylalanyl-L-leucyl-;Biotin-Lys-Arg-Ile-Val-Gln-Arg-Ile-Lys-Asp-Phe-Leu | | CAS: | 2022956-47-2 | | MF: | C81H140N26O18S | | MW: | 1798.21 | | EINECS: | | | Mol File: | Mol File |  |
|
|
2022956-47-2 Recommend
Suppliers |
|
|
Recommend You Select Member Companies. |
|
1
|