| | 2260679-24-9 Basic information More.. |
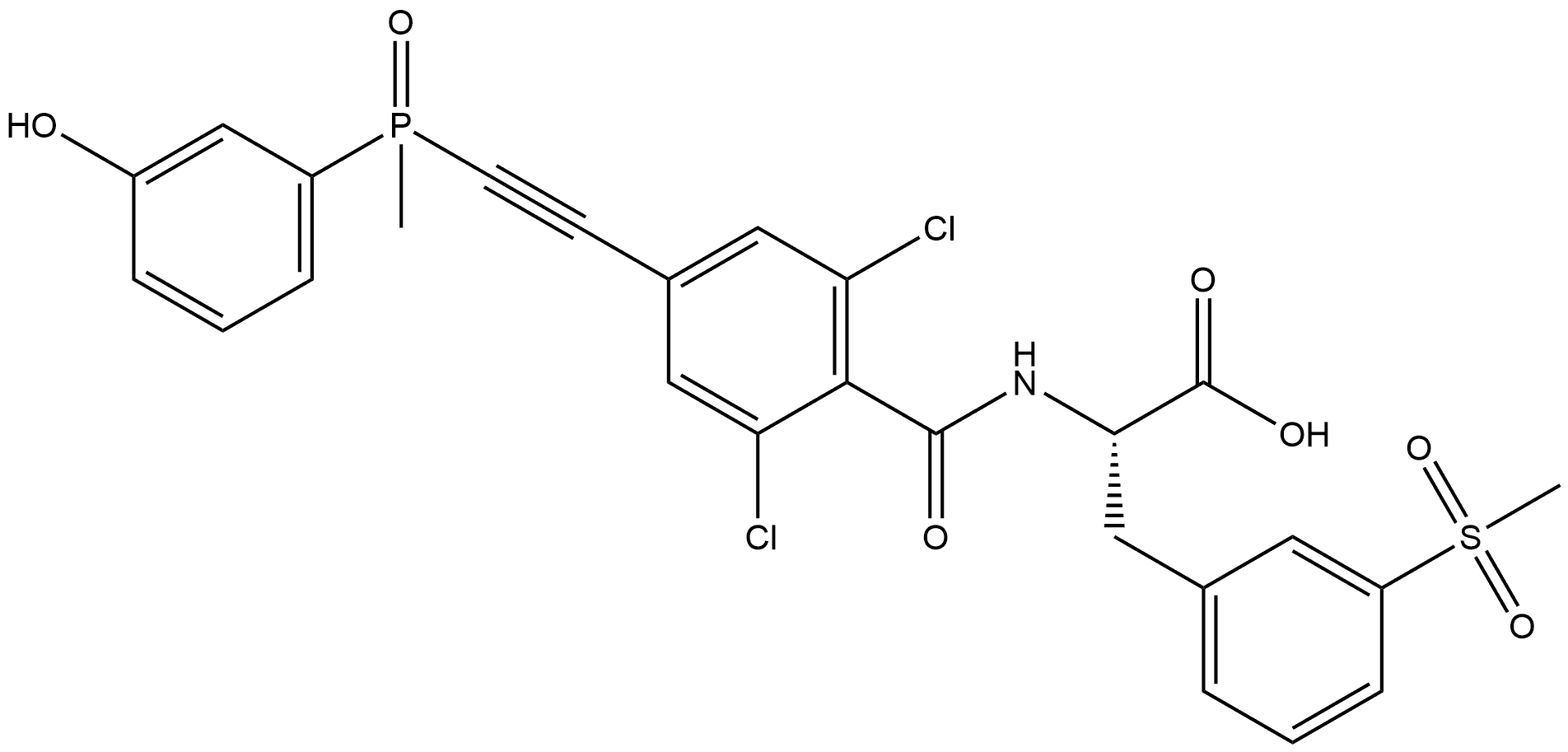
| Product Name: | N-[2,6-Dichloro-4-[2-[(3-hydroxyphenyl)methylphosphinyl]ethynyl]benzoyl]-3-(methylsulfonyl)-L-phenylalanine | | Synonyms: | N-[2,6-Dichloro-4-[2-[(3-hydroxyphenyl)methylphosphinyl]ethynyl]benzoyl]-3-(methylsulfonyl)-L-phenylalanine;Immune cell migration-IN-2 | | CAS: | 2260679-24-9 | | MF: | C26H22Cl2NO7PS | | MW: | 594.4 | | EINECS: | | | Mol File: | Mol File |  |
|
|
2260679-24-9 Recommend
Suppliers |
|
|
Recommend You Select Member Companies. |
|
1
|