| | 1003864-78-5 Basic information More.. |
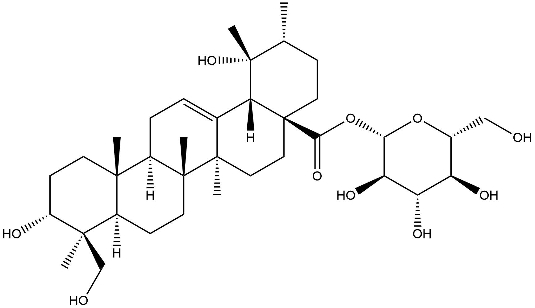
| Product Name: | Urs-12-en-28-oic acid, 3,19,23-trihydroxy-, β-D-glucopyranosyl ester, (3α,4β)- | | Synonyms: | Urs-12-en-28-oic acid, 3,19,23-trihydroxy-, β-D-glucopyranosyl ester, (3α,4β)-;Kakisaponin A | | CAS: | 1003864-78-5 | | MF: | C36H58O10 | | MW: | 650.84 | | EINECS: | | | Mol File: | Mol File |  |
|
|
1003864-78-5 Recommend
Suppliers |
|
|
Recommend You Select Member Companies. |
|
1
|