| | 243835-63-4 Basic information More.. |
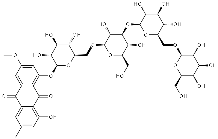
| Product Name: | Physcion-8-O-tetraglucoside | | Synonyms: | Physcion-8-O-tetraglucoside;9,10-Anthracenedione, 1-[(O-β-D-glucopyranosyl-(1→6)-O-β-D-glucopyranosyl-(1→3)-O-β-D-glucopyranosyl-(1→6)-β-D-glucopyranosyl)oxy]-8-hydroxy-3-methoxy-6-methyl- | | CAS: | 243835-63-4 | | MF: | C40H52O25 | | MW: | 932.83 | | EINECS: | | | Mol File: | Mol File |  |
|
|
243835-63-4 Recommend
Suppliers |
|
|
Recommend You Select Member Companies. |
|
1
|